Academia.eduAcademia.edu

Outline

How Mongolian herders affected by Dzud, natural phenomena, 2009-2010: government and pastoralist's disaster management

Abstract
sparkles

AI

Mongolian herders faced significant challenges during the 2009-2010 Dzud, a natural phenomenon combining summer droughts with severe winter conditions leading to livestock losses. The paper discusses the socio-economic role of husbandry, its sustainability issues, and the impact of ineffective disaster management practices. Recommendations for improved pasture management and herder involvement in disaster preparedness were proposed, with the 2009-2010 winter serving as a test case for previously suggested strategies.

Key takeaways
sparkles

AI

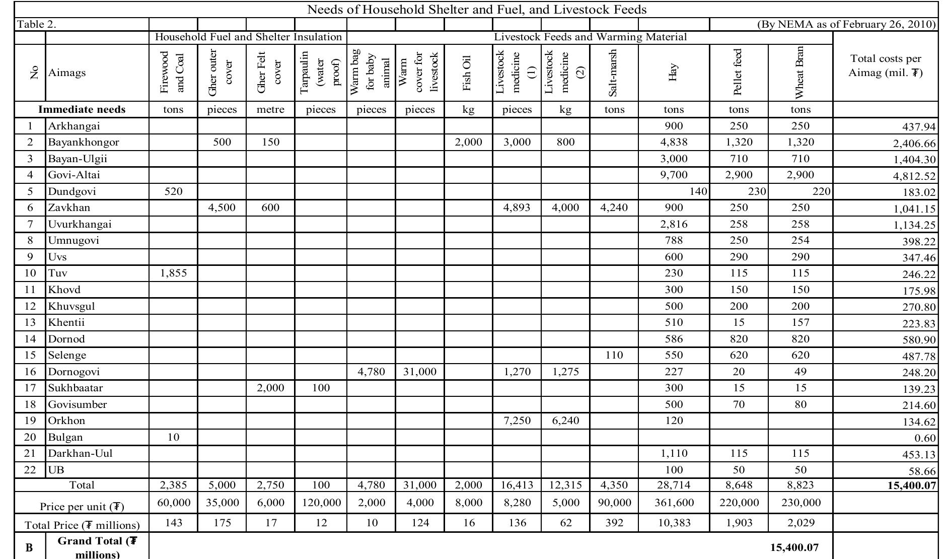
  1. The 2009-2010 dzud resulted in over 10 million livestock deaths, representing more than 22% of Mongolia's national herd.
  2. Mongolian husbandry contributes 16% to GDP, employs 366,000 herders, and indirectly supports 1 million people.
  3. The report emphasizes the need for improved long-term pasture management and herder capacity-building initiatives.
  4. Despite previous recommendations, government response to dzud was delayed and poorly coordinated, leading to significant livestock losses.
  5. Dzud exemplifies systemic failures in Mongolian institutions, highlighting the need for strategic policy implementation and better coordination.
Dzud National Report 2009-2010 ERST, UNDP - NEMA   UNDP NEMA DZUD NATIONAL  REPORT 2009­2010  REPORT OF THE STUDY  Project ID: 00074253 User  11/22/2010    Dzud National Report 2009-2010 ERST, UNDP - NEMA ACRONYMS ADB Asian Development Bank ADRA Adventist Development and Relief Agency APDRF Asia Pacific Disaster Response Fund BSE Bovine Spongiform Encephalopathy CAMDA Cambridge Mongolia Disaster Appeal CERF UN Central Emergency Response Fund COMECON Council for Mutual Economic Assistance CPR Centre for Policy Research DFID UK Department for International Development DPM Deputy Prime Minister EC/ECO European Commission ER Early Recovery ERST Early Recovery Support Team ESA European Space Agency FAO Food and Agriculture Organization of the United Nations GDP Gross Domestic Product GoM Government of Mongolia HIES Household Income and Expenditure Survey HSES Household Socio-economic Survey IFIs International Financial Institutions IFRC International Federation of Red Cross and Red Crescent Societies ILO International Labor Organization IMH Institute of Meteorology and Hydrology LDSC Lutheran Development Service Charities LEGS Livestock Emergency Guidelines and Standards MAP 21 Mongolian Action Plan for XXI century MDG Millennium Development Goal MECS Ministry of Education, Culture and Science MFA/MoFALI Ministry of Food and Agriculture and Light Industry MNCCTI Mongolian National Chamber of Commerce, Trade and Industry MNET Ministry of Nature, Environment and Tourism MNS Mongolia National Standard MNT Mongolian Tugrik MoH Ministry of Health MRCS Mongolia Red Cross Society MSWL Ministry of Social Welfare and Labor NAMEM National Agency for Meteorology, Hydrology and Environmental Monitoring NEMA National Emergency Management Agency NPACD National Plan of Action to Combat Desertification in Mongolia NSC National Security Council NSO National Statistics Office OCHA UN Office for the Coordination of Humanitarian Affairs PPP Public Private Partnership SCF - UK Save the Children - United Kingdom SDC Swiss Agency for Development and Cooperation SEC State Emergency Commission SLP Sustainable Livelihoods Project SME Small and Medium Enterprises TADs Transboundary Animal Diseases TCP FAO Technical Cooperation Program UN/OCHA United Nations Office for the Coordination of Humanitarian Affairs UNDP United Nations Development Programme UNFPA United Nations Population Fund UNHCR United Nations High Commissioner for Refugees UNICEF United Nations Children’s Fund USAID United States Agency for International Development VSO Voluntary Service Overseas WASH Water Sanitation and Hygiene WHO World Health Organization WSPA World Society for the Protection of Animals ii Dzud National Report 2009-2010 ERST, UNDP - NEMA ACKNOWLEDGEMENTS This report is funded by UNDP and SDC under a project entitled Early Recovery Program. The project is part of a UN response to the government of Mongolia’s request to lead humanitarian partners for 2009-2010 Dzud response and early recovery in Mongolia. The UNDP has also been asked by the government to prepare study and recommendation on Dzud coordination and communication plan during Dzud phenomena. In addition, the UNDP assists the government in recording of last Dzud processes and lessons learnt and raising awareness among external and internal stakeholders of opportunities to support the Dzud affected and on winter preparation measures and is working closely with the UN agencies, Swiss Agency for Development and Cooperation, and many other partners. This Early Recovery activity greatly benefited from the cooperation and input of a wide range of stakeholders, including the National Emergency Management Agency, State Emergency Commission, Ministry of Food, Agriculture and Light Industry, National Agency for Meteorology, Hydrology and Environment Monitoring, and Oversight of Activities of Government Agencies with regard to the Implementation of the Government resolutions on Dzud issues and Policy on Herders and Mongolian Livestock. In addition, rapid and sector specific detailed assessments/reports from humanitarian partners including IFRC, FAO, UNDP, WHO, ACF, UNICEF, Save the Children, World Vision, and VSO; from government of Mongolia including three detailed assessments of SEC, Aimag reports submitted to SEC and reports of Government agencies have been incorporated into this report. There are numerous other stakeholders from local governments, institutes and agriculture experts who contributed their time and comments to these activities, for which the authors are most grateful. The report was prepared under the guidance of Mr. Laurent Viguier, Team Leader of UNDP assignment and Early Recovery Support Team, who authored executive summary and conclusions at the same time edited and restructured inputs of other team members. Mr. Byambabaatar Ichinkhorloo, Early Recovery Policy and Planning Expert, authored main part of the report and integrated various assessments for this report. He was also responsible for collecting and creating of database for 2009-2010 Dzud. Ms. Tuul Tsend-Ayush, Early Recovery and Communication Expert, authored the communication part of the report and provided invaluable insights and ideas. She has also integrated the report of Cash for work: Removal of Livestock Carcasses. Ms. Battsetseg Ts, interpreter and secretary, provided logistical support and fine-tuned the report. Mr. D. Namsrai, Commissioner and Deputy Chief of NEMA established working group to cooperate with the team within the NEMA and enabled the team to collect Ministerial reports on Dzud issues. The team is also grateful for invaluable support of Mr. B. Davaadorj, Sr. officer in charge for agricultural disaster and livestock diseases, NEMA and Mr, D. Turbat, officer for agricultural disaster, NEMA, Mr. M. Enkhamar, secretary to the State Emergency Commission, and Mr. P. Gankhuyag, Director, Livestock Husbandry and Policy Implementation and Coordination Department, MoFALI, Ms. G. Naranchuluun, officer for pasture, livestock husbandry and technology, MoFALI, Mr. J. Tsogt, Head of Forecast Sector, IMH, Ms. G. Sarantuya, Director of IMH, NAMEM. Dzud National Report 2009-2010 ERST, UNDP - NEMA Contents  Executive summary ...........................................................................................................iii  1. Introduction .................................................................................................................. 1  2. Mongolia and husbandry ................................................................................................ 3  2.1. Mongolian context .................................................................................................. 3  2.2. A brief history of Mongolian husbandry .................................................................... 4  2.3. Sector situation ....................................................................................................... 6  2.3.1. Facts and figures ............................................................................................... 6  2.3.2. Sectoral environment and vulnerabilities ............................................................. 7  Subsistence husbandry ............................................................................................... 7  Environment deterioration .......................................................................................... 9  3. What is dzud, and what were previous dzuds? ................................................................ 10  4. Lessons learnt from previous dzuds............................................................................... 11  4.1. The 1999 – 2000 dzud ........................................................................................... 11  4.2. The 2001 – 2002 dzud ........................................................................................... 12  4.3. Subsequent studies and reports ............................................................................... 13  5. 2009 – 2010 winter preparation and dzud early warning ................................................. 16  5.1. Institutional framework of preparation and early warning ......................................... 16  5.2. Government’s preparation and coordination ............................................................ 17  5.2.1. Increasing hay and fodder reserves and re-location of strategic reserves .............. 18  5.2.2. Coordination of otor movement to other available pastures and improvement of social services to herders on otor ............................................................................. 19  5.2.3. Livestock number reduction by export and local meat reservation....................... 19  5.2.4. Impact of these decisions ................................................................................. 20  5.3. Preparation at local level ........................................................................................ 21  5.4. Individual and community preparation .................................................................... 24  5.4.1. De-stocking and hay and fodder preparation ..................................................... 24  5.4.2. The use of bank loans ...................................................................................... 25  5.4.3. Being herder is a profession ............................................................................. 25  5.5. Was Mongolia prepared to face dzud? ..................................................................... 26  5.6. Early warning ....................................................................................................... 27  5.7. What to (re)learn from preparation and early warning stages..................................... 30  5.7.1. About the institutional framework of preparation ............................................... 30  5.7.2. About livestock policy and winter preparation. .................................................. 31  5.7.3. About herders’ capacities ................................................................................. 32  Dzud National Report 2009-2010 ERST, UNDP - NEMA 5.7.4. About financial services and livestock insurance ............................................... 33  5.7.5. About early warning........................................................................................ 33  6. 2009 dzud disaster and immediate response ................................................................. 33  6.1. Magnitude of dzud and its process .......................................................................... 33  6.2. Impact and consequences of dzud ........................................................................... 35  6.2.1. Impact in terms of human lives and public health .............................................. 38  6.2.2. Impact on livelihood of affected herders ........................................................... 40  6.2.3. Impact on public and social service delivery .................................................... 43  6.2.4. Impact on road and transportation sector ........................................................... 44  6.2.5. Impact in terms of Fuel and Energy .................................................................. 46  6.2.6. Consequences of dzud: conclusions .................................................................. 46  6.3. Response to dzud .................................................................................................. 47  6.3.1. The legal framework of response...................................................................... 47  6.3.2. From late response to disaster (November 2009 – February 2010) ...................... 48  6.3.3. From disaster to international response (February – June 2010) .......................... 51  6.3.4. An example of cash support approach: the SDC project ..................................... 57  6.3.5. The Cash-for-Work approach through UNDP project ......................................... 59  6.3.6. Lessons learnt from these experiences .............................................................. 60  6.3.7. Addressing the livestock issue: the FAO project ................................................ 60  6.4. Communication and information management ......................................................... 61  6.4.1. Information management ................................................................................. 62  6.4.2. Communication .............................................................................................. 66  6.5. What to (re)learn from response phase .................................................................... 70  6.5.1. The need of anticipation .................................................................................. 70  6.5.2. The need of coordination ................................................................................. 71  6.5.3. The need of organization ................................................................................. 72  7.0 Address dzud as a systemic issue .............................................................................. 73  7.1. Overall diagnostic and recommendations: define where are the limits of state's involvement .............................................................................................................. 75  7.2. Overall diagnostic and recommendations: coordinate strategies, implementation will follow. ...................................................................................................................... 76  7.4. Overall diagnostic and recommendations: achieve decentralization ........................... 78  8.0 Conclusion .............................................................................................................. 80  References ...................................................................................................................... 82  Annexes ......................................................................................................................... 85  ii Dzud National Report 2009-2010 ERST, UNDP - NEMA Executive summary Mongolia is a huge country, which experienced since centuries a specific way of life, characterized by nomadic extensive husbandry. Due to its continental climate, typified by short and hot summers followed by harsh and long winters, this husbandry and the men and women who practise it are highly dependent on a severe environment, and on very specific conditions. However, these conditions did not prevent the country from relying on livestock as an important and valuable economic asset. From the late 19th century on, Mongolia became a meat and livestock provider for neighbouring countries. During socialist period, husbandry has been the mainstay of economic diversification, allowing Mongolia to finance its industrialization through these exports. Husbandry again played a major social and economic role, when Mongolian collectivist economy collapsed at the beginning of the 90s. It provided indeed alternative livelihoods to most of newly unemployed people, and was in particular an effective social response to the breakdown of industry. However, its new uncontrolled development also led to a highly increased dependence of herders, while the economic environment of livestock farming had deeply changed and, to some extent, worsened. Today’s Mongolian husbandry provides about 16 % of the country’s GDP, employment to 366,000 herders, and indirect economic support to about one million people, in a country which has 2.7 million inhabitants. Nevertheless, two main weaknesses threaten its proper development and its sustainability. First, it remains a subsistence-oriented activity, which hardly provides most of the herders with a fair income. Due to the lack of a relevant economic environment, to the poor professional skills of too many livestock owners, or to a lack of proper market orientation, it proves difficult to develop as a sustainable and beneficial economic activity, and to bring herders far beyond poverty lines. Second, the way it is nowadays managed (or not managed...) causes significant damages to environment. Due to climate change, Mongolia is subject to desertification and pasture deterioration. However, overgrazing by too many livestock also plays a major role in this process. Hence, the Mongolian pattern of husbandry seems to be at a deadlock, where poor economic results combine with increased environmental load to seriously threaten its sustainability. Dzud and the effects of dzud are in the same time the consequence and the demonstration of this situation. Roughly summarized, dzud describes this situation which combines summer droughts with very harsh winter. Due to summer droughts, livestock cannot fatten enough to overcome winter, and hay and fodder to balance this insufficient self-sustainability are more difficult to prepare. These situations are all the more likely to happen that livestock number exceeds pasture capacity. Then, very harsh winter conditions, preventing livestock from grazing, iii Dzud National Report 2009-2010 ERST, UNDP - NEMA easily turn into disaster if preparedness hasn't been properly worked out. Since past decade, Mongolia faces an increasing number of dzud years, each of them bringing an increased level of livestock losses. Three years of dzud in a row, from 1999 to 2002, led to the publication of accurate studies and numerous reports, detailing what occurred and assessing what should be done in order to prevent it from happening again. Their conclusions could be summarized as follows: • There was a need for a proper and balanced long term pasture management, taking • into account the pasture carrying capacity to regulate the number of livestock. The herders should be involved in this process, as well as in trainings and other collective projects to develop their capacities. This should be made through herders • groups, which should be supported and encouraged. Winter preparation should be improved at all level, from herders groups to central state, and Mongolian disaster management capacities significantly strengthened, in order to face possible new dzuds. These former recommendations led notably to the setting up of NEMA. The 2009 – 2010 winter was to provide the opportunity to check whether these recommendations had been useful and properly implemented. Indeed, by the end of September 2009, it became clear that a new dzud was liable to happen, due to a severe summer drought and to a possible harsh winter. The government of Mongolia undertook, by its resolution of September 26th, the actions it deemed relevant to face this situation. They notably consisted in relocating part of national reserves of hay and fodder, in trying to extend otor practice by making it easier, in urging local authorities to complete their own preparation, and in trying to reduce as far as possible the number of livestock by facilitating meat and animals export. However, these measures were not likely to be very effective in case of a severe dzud. Indeed, national reserves of livestock feed were not more than two days, local authorities didn't have so many means to perform a proper winter preparation, and there were few prospects to increase livestock export as long as Mongolian herd and products wouldn't meet the international market's expectations. The government of Mongolia tried its best, but the country as a whole was unprepared to face a dzud, and, at the end of September, it was too late to reverse this situation. It was notably impossible for public authorities to offset the poor preparation of most of the herders, who nevertheless bear most of the responsibilities for this preparation, as private owners of livestock. Then, when winter turned really harsh from October on, the means to face the situation was scarce, and the likelihood to avoid massive livestock losses was low, whereas the first losses of livestock were reported as soon as November. Nobody, however, seems to have been aware of this situation before December, when the government issued its second resolution in order to try to respond to the situation, emphasizing on measures similar to the ones decided on September. Nevertheless, the dzud was still likely to last several months, public reserves of hay and fodder were running out, and it could have been at this time obvious that these solutions wouldn't equal the situation. But, since there was no more monitoring of the situation than there had been monitoring of the preparation, nobody would be able to really assess and master the situation. iv Dzud National Report 2009-2010 ERST, UNDP - NEMA This latter went out of control during January, when it became obvious through media reports, international organizations or NGOs assessments that the harsh winter was turning into disaster. At this moment, it would nevertheless probably have been possible for the government to consistently and effectively appeal for international support, by recognizing this progression, and transparently expressing specific and accurate needs. However, due to the lack of proper monitoring and crisis management system, the Mongolian authorities were unable to do so, and released a confusing international appeal on January 18, 2009, notably by explaining that the situation was not at disaster stage. This resulted in a serious misunderstanding with international partners who, because of this statement, couldn't or wouldn't plan a specific and urgent intervention. Nevertheless, the response to the on-going disaster was progressively shifted from government to international organizations. Because of a very poor disaster management capacity, mainly in terms of coordination, Mongolian authorities were unable to lead a consistent response, and then left more and more the response in international organization's care. Their international partners were not much better at coordinating their projects and programmes, so that most of them were implemented within a loosely coordinated framework. This situation could have been reversed with the Appeal released by UN, which summed up the projects which needed funding. However, it was issued too late, in May 2010, to raise the donor’s enthusiasm and to be very effective. Despite of this dissipation of the efforts, the implemented projects took into account the significant experience drawn from previous dzuds and programmes, and proved individually relevant and effective. They illustrated once again that response to dzud could be quite easy, if timely planned and properly implemented. It was nevertheless a pity that, due to the lack of coordination, they didn't make up a consistent response, but only a set of separate projects. The impact of dzud still remains difficult to accurately assess, for several reasons. The first one is the baseline of Mongolian development. Notably, in rural areas, the delivery of public services as well as the convenient supply of basic commodities always proves very difficult during the harsh Mongolian winter. What additional difficulties a 'dzud' year brings to the delivery of healthcare services or to the proper heating of school dormitories is then rather difficult to assess. That's probably why the reports by Mongolian institutions on one hand, and by international partners on the other, sound so discrepant. For the first ones, this winter brought only an additional small amount of difficulties, which wouldn't have been worth being underlined if reports hadn't been requested to prepare this assessment. For the others, who do not necessarily yearly assess the winter conditions of all Mongolian public services, the consequences of dzud have been huge and disastrous. Second, because of a lack of available data and of many discrepancies among those which could be gathered. There is one thing which makes an indisputable difference between dzud and non dzud years, which is the level of livestock losses. Moreover, only one ministry deals with this issue. Both these reasons probably explain why the main set of data has concerned this problem. Apart from it, it proved very difficult to get data about the impact of dzud on public health or on food shortages, for instance. When they were collected, these data moreover channelled through different institutions, which released different and sometimes discrepant results. Within the overall weakness of the Mongolian system of disaster management and response, the issue of information management thus proved to be one of the major concerns, and explains part of the misunderstandings between Mongolian authorities v Dzud National Report 2009-2010 ERST, UNDP - NEMA and their international partners. Third, because some of the less visible effects of dzud are long terms one, which cannot be appraised some weeks after. Its real impact in terms of public health, of impoverishment of the already poor herders, or of internal migrations won't be measurable before months or years. However, what we know from previous dzuds, as well as the almost unprecedented magnitude of this one, makes obvious that its consequences are heavy and will be lasting. Almost 10 million heads of livestock perished, which equates to more than 22% of national herd. The shock has been immediate, as well on the overall economic growth of the country as on the livelihood of most of the poorest herders. But it will also have long term consequences, and it is then not irrelevant to call it a disaster. And yet, dzud is a climatic phenomenon, and there is no understandable reason for it to turn to such havoc. A controlled number of animals, a proper winter preparation, an effective early warning system and a reasonably powerful response capacity should easily avoid the worse consequences of summer droughts followed by harsh winter. As said above, all these issues have been carefully and repeatedly studied and assessed, and all the necessary recommendations have been expressed regarding all the specialities which should be involved in the solution of this problem. This report tries to summarize these recommendations through three main concepts, which are the need of anticipation, the need of coordination and the need of organization. A better anticipation capacity would be effective to overcome the effects of dzud, by improving preparation and timely managing the response. Better coordination ability would make easier the implementation of relevant policies, such as livestock policy or disaster management policy, as well as the operational management of response, either among national institutions or between Mongolian institutions and their international partners. Anticipation and coordination capacities should be based on a proper organisation, able to design policies, to plan and to respond. But all these questions had already been raised, and the relevant responses already given. However, there is one question that remains without satisfying answer, which is to understand why Mongolian institutions are unable to face a well-known phenomenon, that is predictable and the negative effects of which are relatively easy to avoid. The problem is known, and is known as serious, and the solutions are clearly identified as well. What prevents these solutions to be implemented? This report would suggest that dzud is in fact less a specific problem than the symptom of a systemic failure of Mongolian institutions. Whereas most of the relevant entities and persons are deeply concerned by the phenomenon, and try to work hard to face its challenging effects providing thus a high level of inputs, the ability of the institutional system to transform these inputs into achievements is at least doubtful. It means that this institutional system is actually unable to deal with relatively complex multi-sectoral issues that are to think strategies, to design policies and to implement decisions. The best it can achieve for the time being is to make decisions, but with no capacities to connect them with long term strategies, and poor ability to really implement them. Dzud and the devastating effects of dzud perfectly vi Dzud National Report 2009-2010 ERST, UNDP - NEMA exemplify this situation. Rather than to repeatedly propose the same (useful and effective) solutions to the same (and real) difficulties, it could then be advisable to try and support another approach. This would consist in addressing dzud as a systemic issue, and then to identify the main weaknesses of the institutional system, in order to deal with them. This report suggests to clearly delineate and to publicly explain the role of state and of public institutions, to improve their ability to coordinate strategic thinking on key policies, and to achieve a genuine decentralization of public management. vii Dzud National Report 2009-2010 ERST, UNDP - NEMA 1. Introduction ‘Experience is like a lantern in your back, which only lights the already travelled path’ The history of dzud, of the effects of dzud and of the response to dzud in Mongolia since a decade could be a perfect demonstration of this sentence, attributed to Confucius. The word dzud describes in Mongolia the disastrous effects of summer droughts followed by harsh winters on the Mongolian national herd. In a country where winters are naturally harsh, and where herd is considered as 'national wealth', such a phenomenon cannot be harmless. For the fourth time in ten years, Mongolia has been struck by a dire dzud during the winter 2009 – 2010. With a death toll of almost 10 million heads of livestock, that is more than 22% of the national herd, it has been the worse one since 1945. However, the huge level of livestock losses is only the most visible part of the damages that such a phenomenon wreaked on the country. Impoverishment of thousands of herders households, rural depopulation and challenging migrations to urban areas, negative and lasting impacts on public health are among the other effects of dzud which, although less visible in the short term, deeply affect the country and its population. And yet, dzud is not that kind of natural disaster which strikes without notice, wreaks devastation in a few minutes on a large area, and lets the surviving population shocked and helpless. On the contrary, dzud is a quite predictable phenomenon, the clues of which are well-known since decades, if not centuries. It is also a very slow process, which leaves time for preparation and organization. Lastly, the ways to overcome it and limit its worse consequences are also basic and without specific difficulties. Nevertheless, dzud strikes Mongolia with an increasing frequency, and its effects are every time worse. The past ten years, notably, are the history of repeated dzuds and of increasingly devastating effects. The socialist system doesn't remain famous for its economic achievements, but it was at least able to face this phenomenon, and to successfully overcome its consequences. What has been lost since this time, which could explain that this capacity does not exist anymore? This report is aimed at trying to answer this question, and takes place among the huge number of papers and assessments which have punctuated the history of dzuds. First, it describes what the Mongolian environment is, and the specific role and place that husbandry and livestock have in this country. Then, it explains the general mechanism of dzud, as a challenge to herders and their animals, before reviewing what have been the previous dzuds and their consequences, and summarizing the numerous reports and assessments which have been issued as a result of these events. The conclusion which can be drawn from this part of the report is that, since almost a decade, the main lessons had been learned from dzud, and all the necessary recommendations and pieces of advice were available to prevent its worse consequences from happening again. It is then time to understand why and to which extent they have been neglected. 1 Dzud National Report 2009-2010 ERST, UNDP - NEMA That's why the following parts of the paper look into the preparation for the 2009 – 2010 Winter, and the dzud early warning stage. How did the government, at both central and local level, and the herders themselves, prepare for a possible dzud situation? What have been the failures that can explain that, despite of the lessons learned from previous dzuds, this preparation proved at least insufficient? Was there a proper and relevant dissemination of early warning through effective mechanisms? There are many lessons to learn from this stage of the events, during which the conditions for another disaster silently gathered. Even if most of them are well-known and are only the repetition of previous analysis, it was deemed relevant to describe them again. After preparation and early warning, other lessons can also be drawn from the response phase: why was the government response rather late and poorly effective? When the Mongolian authorities lastly handed the response over to the international community, was there a proper coordination and joint action between national and international players, and among international players themselves? After reviewing all these processes and events, the report tries to summarize these lessons which should be learned from this response phase. These first sets of conclusions are not original at all. Regarding the preparation stage, one can underline once again that dzud occurred because the current Mongolian pattern of husbandry is not sustainable anymore, with an uncontrolled increase of livestock number and a heavy impact on a changing environment. Its consequences were worsened by a poor preparation at all levels and by a weak response capacity when it became obvious that a disaster was to occur. As for the response stage, it was weakened by a lack of proper anticipation strategy, coordination mechanisms and organized processes. Having to conduct such a review is quite a frustrating and, to some extent, a hopeless experience: why, whereas so many relevant and clever recommendations and proposals have been made, none of them has really been implemented on a scale which could have ensured successful results? Why are we facing, on one hand, the repetition of the same disastrous phenomenon and, on the other hand, the repetition of the same recommendations which are likely to prevent or, at least, significantly mitigate its consequences? Why has there been no really significant attempt to implement the solutions which could alleviate the burden of Mongolian herders? Why do we seem to be forced to repeat the same conclusions after each dzud, with the despairing feeling that they will only 'light the already travelled path'? The final assumption of this report is that it is from now on useless to continue to assess what dzud is, what are its causes, and how could its consequences be mitigated. All the necessary studies, papers and reports are on the table, and new ones would not add any significant improvement to their recommendations. However, these are not so difficult to implement, and there is no convincing reason which could explain why they are not: in regard of the havoc of dzud, the most simple of them would be highly cost effective. At the end of the preparation of this report, we are convinced that the key question is now to understand why is the Mongolian state unable to take advantage of these previous works to think a strategy, design a policy and implement it? In other terms, the solutions to the dzud problem are known, and do not need to be farther explored. Thus, from now on, dzud should not be addressed any more as a specific issue, but as the symptom of a systemic problem. The last part of the report thus tries to describe this systemic problem, and to suggest three main actions to be taken to start solving it. It does so with the hope that experience of dzud could now be used to light and improve the future of Mongolian herders and of their country, and not only their sometimes painful ‘travelled path’. 2 Dzud National Report 2009-2010 ERST, UNDP - NEMA 2. Mongolia and husbandry 2.1. Mongolian context Land locked in Inner Asia between China and Russia; Mongolia is a country of 2.75 million people living on 1.56 million square km with one of the lowest population density of 1.7 inhabitants per square kilometre. In these huge spaces, nomadic husbandry and livestock production have been the backbone of the economy for the past thousands of years, and they have had a very strong influence, still quite obvious, on Mongolian culture and way of life. Thus, and for instance, article 6.5 of the Constitution of Mongolia provides that 'the livestock of the country is national wealth and subject to state protection'. Even if a private asset since twenty years, livestock for that reason remains a symbol of the soul of this country, and cannot only be considered from an economic point of view. Husbandry practices also have a very close relation to the specific natural and climatic conditions. Mongolia has an average elevation of 1500 meter above sea level, and lies between the northern latitudes of 52.09° and 41.35°, almost the same as France. Continental climatic conditions result in four seasons, with a hot and very short summer and a long cold winter. These conditions are conducive to the development of extensive grass and shrub steppe range- land. In such an environment, key factors influencing stability and resilience of grazed ecosystems are the amount and timing of precipitation and temperature, as well as soils and livestock grazing intensity. Grazing land is primarily arid or semi-arid steppe, and accordingly is subject to drought, wind, variable temperatures and a short growing season. Southern tip of Siberia extends over Mongolia’s northern border provinces, and subarctic climate prevails on the high mountainous areas of those provinces namely KHUVSGUL, BULGAN, SELENGE and KHENTII. From the north to south, there are three stripes of mountain ranges, which reflect natural zones from taiga to Gobi desert. Rainfall and snowfall are low everywhere in Mongolia compared to the other Asian countries. The annual mean precipitation is 300-400 mm in northern mountainous regions, 150-250 mm in the steppe, 100-150 mm in the steppe-desert and 50-100 mm in the Gobi desert (MNET, 2008). More than half of these precipitations fall during July and August. 3 Dzud National Report 2009-2010 ERST, UNDP - NEMA Table 1: Snow Cover Formation and Clear Up, NAMEM Natural zones Day, Month Days Date of first Date of snow Date of snow Formation of Duration of snow-fall cover cover clear last snow snow cover formation up cover Forest-steppe 16 Oct 19 Nov 13 Mar 27 Apr 115 Steppe 22 Oct 28 Nov 6 Mar 15 Apr 100 Altai mountains 14 Nov 14 Nov 24 Jan 26/04/10 70 Desert steppe 9 Nov 18 Nov 2 Feb 2 Apr 65 Snowfall contributes only up to 20% of total annual precipitation, due to high anticyclone dominance over Mongolia during winter. First snowfall occurs in Mongolia between October 16th and November 14th, depending on environment, latitude and elevation. The first light snowfall usually disappears due to late autumn warming. If the snow-cover is thick and the warming period short, the snow cover turns into ice sheet. These conditions create strict constraints for husbandry, which reflect in the local history of this activity. 2.2. A brief history of Mongolian husbandry Historically, tribal nomads living on subsistence husbandry had often raised horses, sheep and other optional animals, depending on geography and climate, until 18th century when political administrative system had restricted their mobility. For the past 200 years, the herders were distributed throughout all natural zones consistently with pasture carrying capacity and economic rationale such as remoteness, trade connection and access to social services. Bound by ethnic and kinship relationship, the ordinary people subject to feudal princes and authorities had their own allocated or permitted pasture land and water points, and they were free to move within their counties in consultation with other herders. All taxes and trade were paid by livestock and livestock commodities, plus small addition of wild animal products and furs. In the late 19th century, Mongolia became constant supplier of livestock and livestock products to China and Russia. It helped the country to develop processing industries and other economic diversification during the socialist period. With broad support from USSR since 1930s, China from 1952 to 1966, and East Europe or COMECON since 1963, diversified industrialization had started in Mongolia and in return, livestock exports were increased in order to keep trade balance. For the benefit of exported meat consumers, huge investment was made for the improvement of livestock veterinary services and livestock sector with support from USSR. The second attempt of collectivization had successfully finished in 1960, and re-collectivization of private livestock that was allowed to herders during 1960s was conducted in 1978. For over 60 years in the 20th century, the livestock was owned and managed by the State, which undertook all risks of livestock sector, and covered deficiencies by foreign economic assistance and loans. During this period, livestock sector grew significantly, and it sustained the development of a wide set of other economic support services, such as fodder and hay making, road maintenance and pasture water supply engineering, livestock veterinary services, biomedicine, and training of livestock experts. Within these services, there were for instance 25 fodder industries with an overall capacity of 250,000 tons a year. 1,154,000 tons of hay 4 Dzud National Report 2009-2010 ERST, UNDP - NEMA was made annually in preparation for the winter and possible dzud (GUNGAADORJ, 2009). Based on animal husbandry, Mongolia with the support of Soviet bloc countries had built meat, wool and cashmere processing factories in every regional centre, as well as knitting, boots, or leather garment factories etc. Thanks to these economic activities, over 60% of total population lived in the countryside, maintaining a convenient balance between urban and rural areas. Almost 300,000 people were in herder families. Another 700,000 were indirectly dependent on livestock (NSO, 1990). Despite of the socialist system, one third of all livestock was owned as a private property by rural people before the livestock privatization. Transition from collective-planned to private husbandry indeed had started since 1985 with new forms of contracts: normal and livestock renting1. By 1990s, almost 52% of herders made a normal contract with collectives on livestock husbandry and only 8% had rented livestock from collectives. However, it changed quickly after democracy and rent contractors switched their number with normal contractors on the following year in 1991. Over 56,000 households out of 145,000 had entered into the livestock rent-contract with the collectives at that time (NSO, 1989-1991). It means that rural people were psychologically prepared for the privatization and that, to some extent, split from collectives had already started. With the collapse of planned economy in 1990 and de-collectivization in 1991-1994, traditional mobile pastoral way of life was quickly recaptured by 115,200 households in rural Mongolia, where the two third of the population (1.6 million out of 2.38 million) still scattered in 21 provincial centres and 323 soums in 1999 (NSO, 2004). During the period between 1990 and 1999, instead of urbanization, the Mongolian response to the collapse of planned industry was a come-back to rural life, which notably resulted in a 23% livestock growth compared to 1990. Husbandry was, thus, an easy and natural alternative livelihood after the collapse of industrial activities. This created employment opportunities or self-sufficiency for 270,000 households, or almost one million people. A large-scale privatization of former state properties started in May 1991 and resulted in the privatization of around 267 collectives and 20 husbandry infrastructure facilities, as a first stage. On the following year, another 20 agricultural and livestock sector related factories and industries were privatized successfully. However, after few years, all these facilities and factories were stopped and plundered due to lack of profitability under inexperienced management and cancellation of government subsidy. It means that, whereas husbandry developed as an alternative to other declining economic sectors, the economic chain which supported it collapsed. However, in the same time, due to the shift from socialism to market economy, “many risks were explicitly shifted from government to individual herders.”2 In other terms, there were more animals, but with less economic prospects, and higher risks for those who had chosen this activity. 1 Normal contract used by collectives was that herders received wages depending on number of livestock and agreement to supply livestock products including wool and cashmere, while taking responsibility to grow livestock at agreed rate. In return, collectives fully supported the herders. For livestock rent, herders took responsibility to supply livestock products depending on their rented livestock, but without any wages. Excess livestock products and grown livestock were owned by the herders and sold to collectives with agreed rates, while receiving limited support from the collectives. 2 FAO: Institutionalizing Pastoral Risk Management in Mongolia: Lessons Learned – Rome 2007 – p. 4. 5 Dzud National Report 2009-2010 ERST, UNDP - NEMA Graph 1: Number of Mobile and Immobile Herder Households Mobile and Immobile Households with livestock 350.0 300.0 Hous eholds (in thous ands ) 250.0 200.0 150.0 100.0 50.0 0.0 89 90 91 92 93 94 95 96 97 98 99 00 01 02 03 04 05 06 07 08 19 19 19 19 19 19 19 19 19 19 19 20 20 20 20 20 20 20 20 20 Mobile/ country Households Settled Households w ith Total Households w ith livestock livestock Looking at the statistics of 1989-2008, the total number of herder households increased from 1989 to 1992, and it dropped steadily until 2005. However, this sudden increase of the total herder’s number hides two contradictory evolutions. Number of professional and all year round herder households had increased from 69,000 to 170,000, while number of other absentee herders3 and ‘urban’ households who own livestock as their second source of income decreased from 176,000 to 56,000. This proves that, between 1990 and 1994, husbandry became the main source of income, and most of the time the only one, for a growing part of the rural population. It means that the dependence on livestock of these families has increased and is now very high, and that they are consequently highly vulnerable to economic shocks impacting this sector. Thus, Mongolia’s economy had relied extensively on the livestock production until the turn of new millennium, when mining boom started in the early 2000. Nowadays, Mongolia has over 349,000 herders who are directly dependent on husbandry, and other 58,504 households own livestock and reside near to settlements or as absentee herd owners (NSO, 2009). Today per capita livestock is 16 heads of animal, which almost doubles the average 8-10 livestock per person4 during the zenith of nomadic powerful States of Xiongnu and Mongolian Empire. 2.3. Sector situation 2.3.1. Facts and figures The livestock sector has been producing an average quarter of Mongolian GDP for the last twenty years. Especially during the financial and economic crises in early 1990s and the last three years, when international mineral commodity prices fell down, the share of livestock sector in GDP has grown. It helped to stabilize the economy and protected market 3 People who own livestock but do not herd their livestock all year round or herd only during summer. They have their livestock herded by their relatives or acquaintances in return for direct or indirect payment such as food supply, allowing the herder’s school children to live with them during school period etc. 4 Christopher Atwood, from ancient Chinese historical chronicles. 6 Dzud National Report 2009-2010 ERST, UNDP - NEMA from inflation. The agriculture sector produces today 18.8% of all GDP, out of which 86.9% are from livestock production. In comparison, mining and quarrying outputs are 39%. It employs more than 34% of the total Mongolian workforce5. Livestock sector alone provides employment opportunity or work places to 170,142 households or 349,303 herders (adults). It supports in economic terms around one million people, including children and the old aged6. As said above, an increased vulnerability to sectoral shocks accompanied the increased number of herders at the beginning of the 90s. Graph 2: Livestock resources; 1970-20087 72 70 70 68 67 66 65 64 62 62 y = 31684x + 5E+07 60 58 57 55 55 54 55 Livestock number, by Millions 53 53 52 52 52 51 51 51 51 50 50 50 50 49 49 50 49 50 49 49 49 49 50 48 48 46 45 45 43.3 40 40.5 35 33.6 34.8 32.9 y = 31241x + 2E+07 30 30.4 25.9 29.3 30.2 24.8 28.0 24.4 26.8 25 22.6 24.7 25.5 24.3 24.3 24.0 23.6 23.9 22.7 23.7 22.9 22.7 20 15 1970 1971 1972 1973 1974 1975 1976 1977 1978 1979 1980 1981 1982 1983 1984 1985 1986 1987 1988 1989 1990 1991 1992 1993 1994 1995 1996 1997 1998 1999 2000 2001 2002 2003 2004 2005 2006 2007 2008 2009 2010 2011 2012 Sheep equivalents Livestock number Linear (Sheep equivalents) Linear (Livestock number) The November 2009 census identified an unprecedented total livestock of 44 million heads. This number was the result of a steadily increasing number of animals, since 1990. It led to a stocking density of 60 sheep equivalents per hectare, which was also unprecedented. Long-term statistics show that this total number of livestock is not only on a rising trend since twenty years, but also oscillates more and more between peaks and troughs, which leads livestock specialists to consider that 'the livestock population thus behaves more like a wildlife population with cyclical variations in numbers in response to natural influences.7 Indeed, the figure above provides a dramatic view of the impact of dzud on livestock number8. Livestock husbandry is thus not only an important asset for Mongolian national wealth, as well as for an important part of Mongolian people: it also became quite a risky activity. It's obviously necessary to understand why. 2.3.2 Sectoral environment and vulnerabilities Subsistence husbandry Managing private activity supposes to be able to face economic shocks, to invest in 5 Data from National Mongolian Livestock Programme (draft, p. 1). 6 Average herder household is comprised of four people (226,649 X 4 = 906,596 (NSO Annual statistical book 2009). 7 Nigel BROWN, p. 10 8 There were dzuds in Mongolia three years in a row: 1999, 2000 and 2001. 7 Dzud National Report 2009-2010 ERST, UNDP - NEMA order to produce market-oriented goods, and to have access to purchasers and consumers. All these activities demand money, which is supposed to be generated by the activity itself, and the income it provides. Thus, the economic sustainability of any activity obviously depends on its capacity to generate this income. Mongolian husbandry is mainly a subsistence-oriented one, which means that, except for a few households, it lacks this capacity. According to latest poverty surveys9, one third of the poor (35.4%) live in the countryside as herders and another 42.5% live in the provincial and county centres of rural areas. Interestingly, the number of the poor increased in the countryside in 2008 compared with 2003 survey, meanwhile the number of livestock increased from 25.4 to 43.3 million. Even if herders under poverty line set by the Government do not live in absolute poverty or in malnutrition10, the economic efficiency of the Mongolian pattern of husbandry is doubtful. The first reason for this situation may be the difficulty to access the market from remote areas in such a huge country, where only 8 aimag centres out of 21 are connected with paved roads, and six aimags from northern border to southern by trans Asian railway. The second difficulty to face is to be able to process food supplies, which means to be provided with basic utilities. Only Ulaanbaatar and other Aimag centres are connected to central electricity. The third problem would be to have the necessary raw products to process in order to meet the market's expectations. Unlike commercial beef herds in developed countries such as UK and USA, pastoral cattle herd structures are strongly biased toward female animals, especially mature milk animals rather than beef animals. All these roughly summarized reasons can explain why the Mongolian livestock industry earns only 10 % of all export income, why the “international market value of (Mongolian livestock) products is declining year by year”, and why “the volume of properly processed meat and milk products are as low as 7% and 4% respectively”11. As a consequence, most of the herders cannot get sufficient income from their activity to be able to behave as private entrepreneurs, and can only rely on their herd for their daily subsistence. Therefore, they are dramatically sensitive to any shock affecting it. In addition, there is no self-regulation of the global herd, except from natural hazards. In order to increase one's income, a normal temptation is to increase the number of one's livestock. Semi-wild livestock, grazing without every-day care by their owners in the steppe, grows quickly during favourable years. It enables herders to improve their welfare and to hand over some livestock to their married children. In this way, the number of livestock increases quickly and may exceed grazing capacity, notably because of limited availability of extra pasture for additional households. Normally, skilled Mongolian herders graze their livestock in different seasonal camps throughout the year, moving from one pasture to another in every season in order to get more fresh grasses for their animals, and reserve some pasture at the winter and spring camps as winter/spring preparation. In addition to these cyclical movement, herders move dozens of 9 “Household income and expenditure survey/living standards measurement survey of 2002-2003” and “Household socio-economic survey of 2007-2008” by NSO, 2004 and 2009. 10 “Survey Assessing the Nutritional Consequences of the Dzud in Mongolia”, Ministry of Health, Mongolia, WHO, UNICEF, US centres for Disease Control and Prevention, January 2003. 11 National Mongolian Livestock Programme (draft, p. 1). 8 Dzud National Report 2009-2010 ERST, UNDP - NEMA times during summer and autumn to fatten up animals based on their ecological knowledge of different pastures. These are classified according to different criteria, including the season in which they are grazed, their nutritional quality and suitability for different types of livestock, topography and elevation, aspect, ecological zone and plant community, colour, soil characteristics, water quality and quantity, distance from camp, and degree of utilization by livestock. The use of plants and perception of ecological processes and change are well utilized by skilled professional herders on selection of pastures throughout the year12. But the chain of this pasture management is very weak, very much relies on herders’ knowledge and skills, and is then very easily breakable when the number of livestock exceeds the carrying capacity, or when the skills of herders tend to decrease. And yet, the number of livestock tends to increase without control, whereas number of people became 'herders' in the past years without proper vocational training. As a result, the present Mongolian pattern of husbandry is not only threatened by its poor economic sustainability, but also by its negative impact on environment. Environment deterioration In the past two decades, sustainable development issues were raised strongly in Mongolia like in other countries. Mongolian Action Plan for XXI century (MAP-21) and national sustainable development strategy were adopted by the Government of Mongolia in 1998. As a result, Mongolia looked back at its practices and policies for the land use with increased concerns and highlights on perceived environmental degradation and climate change. Pasture overgrazing and land degradation became dominant concerns among development decision makers and projects after MAP-21, Desertification National Plan and especially the dzuds from 1999 to 2002. The Government of Mongolia reported in the MAP 21 that 38,000 hectares of land or 0.43% of total area were degraded since 1950s by 1996, mainly in Gobi region. Grazing land decreased from 141 million hectares to 117 million hectares since 1960. It also announced that cyclical drought happens every 2-3 years in a quarter of Mongolian territory and 4-5 years in the whole country. The Action program and the National Plan were the starting point for the awareness of land degradation issues in Mongolia. Total degraded land percentage varied between 34%13 and 77.2%14 of Mongolian territory in different studies. Among the latest ones, a report by the Mongolian Society for Range Management (MSRM) supported by Swiss Agency for Development and Cooperation underlines that ‘70-80 % (of the Mongolian pastures) is in bad shape. As a result of overgrazing due to too many animals, poor herd rotation practices, mining vehicle racks and possibly climate change, biodiversity is declining, weeds are encroaching, soils are eroding and desserts are advancing”15. This assessment is confirmed by National Mongolian Livestock Programme, which establishes that “pasture growth has decreased by 20-30 %, pasture plants species numbers have been reduced and it resulted in an increase in land degradation and desertification”16. Such a situation has not only 12 Fernandez-Gimenez, M.E., The Role of Mongolian Nomadic Pastoralists' Ecological Knowledge in Rangeland Management, Ecological Applications, Vol. 10, No. 5 (Oct., 2000), pp. 1318-1326 13 National Plan of Action to Combat Desertification in Mongolian by Ministry of Nature and Environment, Government of Mongolia, 1997, page 19. That 30% of the country is moderately degraded and 4% is severely degraded was cited from Botanic Institute, Mongolian Academy of Science. 14 This figure was reported in the 2006-2007 Government report on State of Environment, and 70% was quoted in the Copenhagen Climate Change Conference by President Ts. Elbegdorj in December 2009. 15 Nigel BROWN, p 11. 16 National Mongolian Livestock Programme (Draft, p.1). 9 Dzud National Report 2009-2010 ERST, UNDP - NEMA consequences on the capacity of livestock to graze, but also on the domestic ability to produce and stock hay and fodder for winter preparation. Dzud, which is a climatic phenomenon, is obviously depending neither on the number of livestock nor on the quality of pasture land. However, its disastrous consequences are directly related to these issues. 3. What is dzud, and what were previous dzuds? Significant winter losses among livestock happen every year: statistics from the MoFALI show that the total mortality of livestock since 1970, in non-dzud years, has been estimated at 28.9 millions heads, which equates to an average 3.3 % of national herd per annum17. However, specific winter conditions can lead to much heavier losses, mainly in percentage of national herd. It is widely accepted that there are two root causes of the dzud (NATSAGDORJ, 2009, p-27). The first one is the different hazards in terms of meteorological phenomena, such as blizzard, heavy snow, extreme cold, and ice-bound pasture. During these phenomena, livestock becomes unable to graze due to snow blanket, ice covering, continued blizzards, and extreme cold, even though there were favourable summer and good pasture. The second one is the pasture unavailability caused by droughts and overgrazing. It results in massive loss of livestock during winter and spring time, even if there was no climatic extreme phenomenon. Dzud starts from previous summer and ends next spring while reaching its climax of damages and losses in winter and early spring. Herders have named those meteorological phenomenon or hazards differently, depending on their cause: • White dzud is mainly caused by heavy snow fall, with an average depth of snow on pasture land from above 21 cm in the mountain areas, to above 10 cm in semi-deserts regions; • Black dzud is due to lack of water during summer, followed by lack of snow during winter. • Iron dzud consists in the coverage of the pasture by a sheet of ice, which prevents livestock from reaching the grass under the snow. Most of these dzuds are usually related to summer droughts, which give negative impact on livestock fattening, and then diminish its capacity to overcome winter. One of the basics of Mongolian husbandry is, indeed, that livestock eat enough during summer to create fat reserves, which will provide part of the necessary nutriments to survive winter. The other part should be provided by winter grazing and/or supplies of stockpiled feed. Dzud is a large-scale breaking of this chain, which continues from spring to next winter and is a cyclical year round phenomenon. The frequency of the drought and dzud is increasing over the years18 and dramatically heightens risks of poverty for rural people. There has been indeed 12 dzuds since 1945, half of them having taken place since 1993. The table below does not only show that dzud is becoming more frequent, it also establishes that its consequences are heavier and heavier: 17 Nigel BROWN, p.13. 18 L. Natsagdorj, Dzud, atmospheric phenomena, in Mongolian pastoral animal husbandry and strengthening of early warning system, Nomadic Studies, Mongolia, Issue 11, 2005, pp 174-193 10 Dzud National Report 2009-2010 ERST, UNDP - NEMA Table 2: Livestock losses between 1944 and 201019 Year Adult % of animal national losses herd. (millions) 1944 - 1945 8.1 33.2 1954 – 1955 1.9 8.2 1956 – 1957 1.5 6.2 1967 – 1968 2.7 11.9 1976 – 1977 2 8.9 1986 – 1987 0.8 3.6 1993 1.6 6.4 1996 – 1997 0.6 2.1 1999 – 2000 3.5 11.6 2000 – 2001 4.8 18.5 2001 – 2002 2.9 12.2 2009 – 2010 9.7 22 The losses due to dzuds since 1999 (21 millions heads) are higher than the ones totalled from 1945 to 1999. It means that bad winters have always heavier consequences on livestock, due to its poor conditions of husbandry. It perhaps proves a deterioration of climatic conditions, but it makes in any case obvious that the Mongolian pattern of husbandry is less and less able to cope with these conditions, and, therefore, less and less sustainable. These lessons had already been learnt from previous dzuds in 1999-2002. 4. Lessons learnt from previous dzuds 4.1. The 1999 – 2000 dzud After the dzud of 1999-2000, UNDP implemented project MON/00/302 “Lessons learnt from the Dzud 1999-2000” in collaboration with National Agency for Meteorology, Hydrology and Environment Monitoring and JEMR Consulting Company in 2000. The project produced a huge report on the dzud, and its lessons learnt and recommendations are summarized below. 1. Regarding development issues and their relation to dzud: • The consequences of dzud should be reduced through enhancing development of infrastructure, improving social services and delivering financial and banking services to the herders. It would also be convenient to protect environment by improving the management of pasture and water sources, as well as to develop weather forecast and warning. More highlights should be given to development issues while reducing vulnerability to and risks of drought and dzud. • Over the past years before dzud, the economy and society had changed into more liberal and private property oriented economy. The causes of agricultural risks, particularly regarding husbandry, should then be reformulated along with risk mitigation methodology and approach. 19 Source: National Programme on Protection for livestock from droughts and dzuds 11 Dzud National Report 2009-2010 ERST, UNDP - NEMA 2. Regarding emergency management, and recovery: • As the coordination of donors’ assistance and emergency support by the government proved weak, it was suggested to establish a national system to coordinate external support and assistance to dzud response and recovery. • There were no agreed methodology and guideline for assessing risks and estimating losses and needs at all levels. It was then suggested to develop them as soon as possible. • During the dzud of 1999-2000, decisions on response and recovery were quite delayed and issued after the critical moments, even though the professional agencies in charge of natural hazards confirmed the local needs. So it was recommended to improve timely decision making and efficient implementations, taking into account the impacts of dzud on the society and animal husbandry. • Disaster management and disaster information system proved very weak to respond adequately in emergency situation. Therefore the existing system needed to be reviewed and significantly improved. • It was also suggested to create a national system to identify the needs and necessary donations and aids, as well as the time and locations of delivery, to monitor information dissemination, and to share assessments of the response and donations. • To ensure the urgent delivery of disaster information to external partners and humanitarian organizations during the disaster was also deemed necessary. 3. Regarding livestock policy: • It was suggested to improve the herder’s knowledge and skills to combat disaster, as well as to re-establish former livestock breeding services through veterinary services. • Another recommendation was to organize herder’s seasonal rotational movements on the basis of assessments and surveys of the pasture, and to ensure the preparation of winter and spring camps in sites along with water points. • It was also suggested to identify and keep the proper number of livestock in local areas, based on the pasture carrying capacity, on available hay and fodder reserves, and on market capacity in order to prevent possible massive losses. • Conduct re-stocking program was also deemed a suitable option, in order to create employment opportunity for herders, who fell below poverty line and lost all livestock during dzud, as a life guarantee and through interest free loans. 4.2. The 2001 – 2002 dzud When the above lessons learned report by UNDP and NAMEM was published and disseminated to the decision makers and all other stakeholders, the dzud struck Mongolia again in the following two years 2000-2002. Another lessons learned report “Livestock in the winter of 2000-2001: Conclusions - Lessons learned - Challenges” was published by the Ministry of Food and Agriculture and JEMR Consulting company in 2001. In addition, pastoral risk management project “TCP/FAO/MON0066” led by FAO conducted in 2003 very detailed studies on reducing risks and vulnerability of pastoral animal husbandry in Mongolia. It recommended to implement step-by-step activities at four levels including 12 Dzud National Report 2009-2010 ERST, UNDP - NEMA herders and herder groups level, county / soum level, provincial / aimag level, and national level in terms of 1) risk reduction, 2) risk mitigation, 3) winter preparation by households, 4) adjusting to over-winter carrying capacity, and 5) winter preparedness reports and risk forecasts. Outline of these recommendations is as follows: 1. Regarding the role of herders groups: • Support the setting up of community based groups, in order to improve pasture utilization and management as well as fodder production and hay making. These groups should be supported by appropriate regulations and guidelines, and provision of technical support including relevant trainings. • These herder groups should own pasture possession certificates and develop their own pasture management plan, group-based otor20 schemes, as well as winter preparation activities such as disinfection of winter camps, preparation of shelters, fuel, water sources, and feeds for upcoming winter based on pasture carrying capacity. 2. Regarding winter preparation activities: • Establish emergency fodder fund at soum and aimag levels, along with inter- aimag emergency grazing reserves. Commercial hay and fodder prepared by herders and private sector should be included in a contingency plan. Veterinary services at aimag level and stocks of medicine should be reflected in the plan. • Winter preparation activities should be planned at all levels and reported from bottom to top: soum by September 15th, aimag by October 1st, and Ministry of Food and Agriculture by November 1st to Parliament. These winter preparation reports and pastoral risk forecast should be based on the calculation of pasture carrying capacity. • Establish bagh and soum level radio telephone networks in order to deliver weather forecasts. Every aimag should have its own radio station (frequencies) and broadcast aimag and soum specific weather forecasts according to fixed schedule. All herders should own radio as early warning measure. It was also recommended to study the possibility of establishing livestock index insurance, using weather or mortality rate of livestock. All those reports from 2000-2003 led the government of Mongolia to reform its disaster management system. These studies and projects resulted in the setting up of a new Agency, called National Disaster Management Agency (NDMA, which became in 2005 the National Emergency Management Agency, NEMA). In January 2004, this Agency merged three previously separate agencies: the State Board for Civil Defence used to be under Ministry of Defence, the Fire Fighting Department under Ministry of Justice and Home Affairs, and the State Reserve Agency under Ministry of Food and Agriculture. 4.3. Subsequent studies and reports Latest study on the agenda of institutionalizing the pastoral risk management was 20 Otor is herder’s movement with their livestock in search for fresh grasses or available pasture in places other than their seasonal rotational camps/pasture. 13 Dzud National Report 2009-2010 ERST, UNDP - NEMA conducted by project under FAO Technical Cooperation Program (TCP) and was completed in 2007. Reiterating the previous studies, the recommendations prioritized the setting up of herder based institutions in relation to the other key issues. Considering that pastoral risks, especially dzud, are likely to increase in severity in Mongolia, managing them was underlined as a priority task for government and civil society. The key actions to be undertaken were: 1. Regarding herders groups: the focus on creating and strengthening herder institutions were supported as the institutional basis for pastoral risk management throughout the country: “recent experience suggests that herder group-based management, with significant participation by local government, is the most effective way to proceed”21. The readiness of poor households to join such institutions needed to be explored, as did the willingness of richer households to include them, and of herder associations to give them additional support. Herder associations should be encouraged to address the issue of poverty and to become the main protection against impoverishment. The institutional form to be adopted should continue to be decided by the group itself. 2. Regarding land reform, tenure security and pasture management: • On-going work to make the land law fully supportive of possession of hayfields, camp sites and winter-spring pastures, and to protect herders from miners, should have been completed as a priority: “uncertain pasture tenure is at the heart of the risks facing herders. Better pasture management can only happen with better design and more strictly enforced tenure rules”22. The Ministry of Food and Agriculture’s initiative to make the necessary amendments to the land law should be supported. The respective powers of soum and aimag authorities to issue different types of lease should be clarified (notably to avoid disorganized competition between mining and grazing for the use of land). • Soums and aimags have an important role to play in coordinating seasonal movements. This task should be taken over progressively by herder associations as they gain experience. • Pasture management should be directed towards recovering and sustaining traditional best practice by introducing seasonal grazing rotation and emergency reserve pastures. These practices should be supported by the new tenure arrangements, especially the possession certificates for winter camp sites and winter spring pastures, discussed above. The methodology developed by the Centre for Policy Research, which involved herders in the drawing of pasture maps and the preparation of seasonal grazing plans could assist this process. National policy should also, where appropriate, encourage herders to adopt alternative strategies (fencing, improved pastures) in areas where traditional seasonal rotation of grazing is constrained for whatever reason. Extension activities were needed to make pasture management a priority for herders and local government. 3 . Regarding winter preparation, risk management and contingency planning: • Adequate animal feed stored within the household was already deemed essential part of winter preparation. Greater efforts were suggested to make better hay making equipment available, especially animal drawn mowers and rakes. World Bank efforts to develop a viable commercial model of fodder production were to be 21 FAO: Institutionalizing Pastoral Risk Management, p. 11. 22 FAO: Institutionalizing Pastoral Risk Management, p. 9. 14 Dzud National Report 2009-2010 ERST, UNDP - NEMA supported and extended to other herders, if there were a successful outcome. Efforts to re-establish inter-sum and inter-aimag emergency grazing reserves deserved support, as did efforts to create a genuine national emergency fodder fund. • The institutionalisation of risk management as part of the normal operations of government, especially at aimag and soum level, had started and should be pursued. Writing detailed risk management activities and outputs into civil service job descriptions and contracts was deemed a useful initiative and should be further developed. • Contingency planning should be carried forward rapidly in several settings in order to test its potential and refine its methodology. Regular evaluation of the plans should be made to share experience between different ecological and economic zones. • Early warning is an important part of risk management, and efforts to create an effective early warning bulletin, covering weather forecasts and other indicators should be pursued. 4. Regarding financial issues: the involvement of Mongolian banks in lending to, and accepting savings deposits from, herders was deemed a welcome initiative, which if successful would have useful lessons for other pastoral situations. It was advised to make the lessons of World Bank experiments with index insurance in the livestock sector available as widely as possible as soon as possible. 5. Regarding restocking: restocking was supported as a potentially important intervention to assist recovery from serious disaster, provided that this option meets some prerequisites. Notably, “there are many situations where restocking does not provide the solution, most notably when people lack the commitment, skills, labour and social capital to make a success as herders (…). For restocking to be a success, it must be carefully targeted at households with the necessary qualification (…). As a large scale response to disasters, where small numbers of animals are given to large numbers of households, with little selectivity or monitoring, it is doomed to failure”23. The lessons from earlier restocking schemes should be made widely available and any new restocking scheme should be based on them. Adequate insurance of restocked animals was considered essential to protect households from being tipped into extreme poverty by dzud during the repayment period. Summarizing all these reports and assessments shows that the dzud issue is not a new one, even in the framework of a market-oriented economy. Since more than ten years, the mechanisms of dzud, the reasons why its impact is growing, and the means to reduce it have been widely described, analysed and reported. With the consistent support of international community, a huge work has been done to assess the situation of Mongolian husbandry, its vulnerability to natural hazards, and the best ways to reduce it in order to ensure its sustainability. To summarize this amount of thoughts and recommendations, one can underline the three main issues which have been identified: • The need of a balanced land and pasture management, resulting notably in a convenient number of animals, consistent with pasture carrying capacity. • The necessary involvement of herders groups to draw up relevant local livestock 23 FAO: Institutionalizing Pastoral...., P. 22, 23. 15 Dzud National Report 2009-2010 ERST, UNDP - NEMA management and husbandry practices, as well as to design and implement local solidarity mechanisms. • The importance of both winter preparation and risk management capacities, in order to reduce the consequences of possible dzuds on one hand, and to be able to face them on the other hand. However, these works resulted in significant improvements in several fields, such as the review of the disaster management framework, with the setting up of NDMA, or the progress in the field of pasture management by revision of the land law, underlined by FAO assessment. Anyway, and unfortunately, a test of these improvements was to occur, revealing what effectiveness they have to face another dzud. 5. 2009 – 2010 winter preparation and dzud early warning 5.1. Institutional framework of preparation and early warning A lot of Mongolian institutions take part to the preparation of winter, and to the dissemination of possible early warning messages, under authority of the Government of Mongolia. According notably to Government's resolution 190, issued on December 6th, 2000 as a result of 1999 – 2000 dzud: • The Ministry of Nature, Environment and Tourism has to conduct drought assessments and prediction of possible dzud for the next 6 months and, jointly with the Ministry of Food, Agriculture and Light Industry (MoFALI), to estimate pasture carrying capacity. • The MoFALI is generally entrusted with the main tasks for winter preparation in the field of livestock, such as assigning amounts of hay and fodder to be prepared by local authorities, compiling and submitting relevant reports to the government. • Several agencies support the line ministries in these tasks, notably the National Agency for Meteorology, Hydrology and Environment Monitoring (NAMEM) for the assessment of drought conditions and pasture carrying capacity. The State Reserve Fund, under the National Emergency Management Agency (NEMA), organizes the storage of strategic reserve of hay and fodder at national level. In case of a forthcoming dzud, NEMA is responsible for the dissemination of early warning messages. • Other line ministries have also to prepare winter in their own scope of responsibilities. • Local authorities are as well involved in this preparation: they are notably assigned specific tasks by the Government, and specifically the stocking of defined amounts of hay and fodder at aimag and soum level. • All these stakeholders are coordinated by the Government itself, which traditionally issues a resolution assigning winter preparatory tasks to relevant Ministries and aimag governors in order to speed up the preparation work which started from right after the last winter. In 2009, the resolution 221 was issued on July, 22nd. However, two key points have to be underlined at this stage. The first one is that, apart from the Government itself, no operational body is entrusted with the task of coordinating this preparation. The Government is of course the proper level to issue a general framework, strategic decisions and regulations. But, once these framework, 16 Dzud National Report 2009-2010 ERST, UNDP - NEMA decisions and regulations have been issued, their implementation should be encouraged and closely monitored on a regular basis, and this is of obviously not the task of the Government itself at cabinet level. The monitoring of sectoral preparation is one task, which can normally be performed by a relevant line ministry or agency. However, the coordination of the different sectoral activities also has to be implemented and closely monitored, and no institution is really entrusted with this task. As a result, there is no specific and accurate monitoring of the overall preparatory work for winter. It is then impossible for the Government to really assess this preparation, and to timely make the remedial decisions which could be needed. We shall see farther how crucial this lack is. The second one is that at least part of this framework is more theoretical than really effective. Notably, the public reserves of hay and fodder, an inheritance of socialist times, proved during last dzud dramatically insufficient. Though, this situation was well-known since many years: “before liberalisation, the State Emergency Fodder Fund was operational in all 21 provinces, with a total of 69 emergency fodder stores. By the late 90s, responsibility, but no funds, had been shifted from central government to the provincial authorities. There are still nominal stores in all aimags, but none are effectively operational. As a result, there are no realistic emergency fodder provisions, making snow disasters much more dangerous”.24 This situation where preparation to winter remains partly virtual, is of course fostered by the above mentioned lack of monitoring, which allows everyone to do “as if” the preparatory work had been properly and timely achieved. It is not only absurd, but also quite counterproductive, because it leads stakeholders to rely on things which simply do not exist. One can by the way wonder if the poor preparation of a lot of herders is not, at least partly, based on the assumption that public reserves should substitute their own lack of precaution. These were the prevailing conditions for the preparation of 2009 – 2010 Winter. 5.2. Government’s preparation and coordination The government resolution No 296 ‘On additional measures to be taken on winter preparation’ issued on September 23rd, 2009, was a result of the above described process of assessing the drought situation of Mongolian territory at the end of summer, and the pasture carrying capacity as well as the weather forecast for the coming winter. At national level, the drought assessment showed that 40% of total territory was in normal condition, other 40% in moderate drought and the remaining 20% in extreme drought. The meteorological data showed that there had been a lack of precipitation in summer 2009 that caused the decline of pasture biomass. In addition, and based on the local request of five aimags, (GOVI-ALTAI, DUNDGOVI, UVURKHANGAI, UMNUGOVI, and BAYANKHONGOR), MoFALI had specifically assessed the drought condition of those aimags in August 2009, in collaboration with MNET, NAMEM, and NEMA. Drought was almost the same in all aimags, and 50% to 80% of total area of each of them was in extreme drought situation. The rest was affected by moderate drought, excluding 5% of UVURKHANGAI and 10% of DUNDGOVI aimags which were in normal situation. Through NAMEM local meteorological offices and weather stations, all aimags and soums assessed pasture carrying capacity of all soums and baghs. As in the last 10 years, the pasture carrying capacity was exceeded in Gobi aimags and mainly in the regions between 24 FAO: Institutionalizing …., p. 11. 17 Dzud National Report 2009-2010 ERST, UNDP - NEMA latitudes of 47° N and 42° N25. Around 55% of pasture land was overloaded by current livestock: 25% of total pasture carried 5 times more livestock than possible, another 10% carried 3 to 5 times, and the last 20% had 1 to 3 times. The remaining 45% were in balance, with 35% having pasture reserves for additional livestock. Map 1: 2009 Pasture Carrying Capacity for Winter of 2009-2010 (by soum and bagh) Winter weather forecast was completed on August, 23rd. It could be noted from the seasonal prediction that there would be above average snowfall in five Gobi and four northern aimags during December, and that these heavy snowfalls would switch to central and northern aimags in January. Temperature would be around multi-year mean temperature or warmer during December to March. Reading this prediction is not easy for people who are not professional in meteorology, but it was interpreted by professional meteorologist for the main decision makers. These assessments and forecasts led the Government of Mongolia to issue its resolution 296. It warned aimag and soum governor’s offices to be serious on winter preparation and otor movement and it focused on three main preparatory activities. 5.2.1. Increasing hay and fodder reserves and re-location of strategic reserves After reviewing winter preparation progress in early September, GoM tried to enhance the on-going activities and ordered to increase local hay and fodder reserves to all aimag governors. It also allocated additional 393.8 million MNT for re-location of hay and fodder reserves to state reserve pick-up points close to aimags at risk of dzud. In addition to previous 25 Because of different biomass in arid, semi-arid or steppe zones, livestock in Gobi region needs seven times wider pasture land than livestock in steppe, and 22 times more pasture than in semi-forest area 18 Dzud National Report 2009-2010 ERST, UNDP - NEMA reserve storage points, seven more points were established in western aimags in order to allow quick and timely mobilization of fodder and hay. 5.2.2. Coordination of otor movement to other available pastures and improvement of social services to herders on otor Due to drought and exceeding livestock number in seven aimags located along ALTAI and KHANGAI mountain ranges, additional budget of 208 million MNT was allocated to ensure social services delivery to those herders who moved across aimag boundary to other available pastures such as inter-aimag otor pastures. Before otor movement, the government spent additional 149.4 million MNT on repairing and digging wells in the pastures in which water sources lacked. At ministerial level, the use of pastures in border zones and protected areas was decided as a follow up of the government resolution No. 296, and MoFALI developed a plan with aimag governors after conducting a survey of herders who wanted to move on otor to those new pastures. As a result of these Government decisions: • 5,9 million livestock herded by 14,982 households moved for otor pasture in other aimags and soum territory: 5,049 households owning 2,2 million livestock in other aimags’ territory and 9,933 households with 3,7 million livestock in other soums’ territory26. • The Authority for Inter-aimag Otor Pasture Reserves under MoFALI, established in 2007, had allowed winter pasture movement of another 371,500 heads of livestock herded by 526 households from 35 soums of 13 aimags in 6 otor pasture reserves. • Besides, 1,326 households herding 564,500 livestock had moved to border regions and strips for better pastures upon approval by General Authority for border protection. 680,400 livestock from 39 soums of 9 aimags spent winter in the protected areas including 60,805 heads of livestock in the protected areas of DORNOD, ZAVKHAN, SELENGE, UVS, and KHENTII aimags27. One can thus roughly estimate that around 7.2 million heads of livestock went to otor that is more or less 16 % of the national herd. 5.2.3. Livestock number reduction by export and local meat reservation In order to try to keep pasture carrying capacity in balance, the Government of Mongolia opened seven border ports with People's Republic of China and Russian Federation for livestock export and import, during the period between September 23rd and December 31st, 2009. Ministries in charge of livestock and veterinary service, Justice, and Foreign Relations have worked with neighbouring countries to meet livestock export requirements and raise barriers, but with little success. At local level, the governor’s offices were instructed to organize reservation of meat and to support de-stocking measures consisting in meat and livestock export by private sector. As a result of these decisions, 88 private and public companies and individuals took certificate to 26 Dzud reports by Ministries in response to NEMA’s request: Report by MoFALI dated on June 3, 2010 27 Report by MNET, May 28th, 2010. 19 Dzud National Report 2009-2010 ERST, UNDP - NEMA export livestock, and actually exported 4,689 heads of livestock worth 34,100 USD and 11,300 tons of meat worth 10.3 million USD. Faced with the veterinary and Transboundary Animal Diseases (TADs) requirements for livestock export and dzud intensification, the government would renew its decision and approve 11 border ports to allow livestock export and 5 ports to allow meat and livestock products on January 22nd, 2010. Graph 3: GoM Early Warning Measures taken in 2009 5.2.4. Impact of these decisions These decisions made by the Government of Mongolia obviously reveal its willingness to face as far as possible the consequences of the foreseen dzud. However, some simple comments could highlight that these measures were not likely to be equal to the situation: • Relocation of national reserve of hay and fodder may be useful in order to bring them closer to the relevant spot. However, it doesn't solve the problem of overall scarcity of this resource. Yet, the national reserve was equal to “560,500 tons of supplementary fodder produced nationally, which equates to 8.1 kg of fodder per sheep equivalent animal. This is only 2 day supply of fodder during times of natural emergency or in a disaster situation.”28 Such a level of reserve is obviously not sufficient to face a dzud situation, and the availability of relevant quantities of animal feed for next winter is a question which cannot be solved in September if strong basis to do so do not exist beforehand, notably a strong pasture management system. • Even the brightest otor organization cannot offset a lastingly unbalanced pasture management. The national livestock totalled in November 2009 more than 44 millions animals, for a generally estimated carrying capacity of 20 – 25 million head in the whole country. The fact that more or less 7.2 million heads of livestock went to otor, out of 44, illustrates the limits of this practice as a solution to the dzud issue. In addition, the above mentioned figures about the number of herder households which went to otor raise another question. A simple estimation of livestock per one household in otor movement shows that each of them herded around 400 heads of livestock. 526 households each owning more than 700 livestock used inter-aimag 28 National Mongolian Livestock Programme (Draft, p. 1). 20 Dzud National Report 2009-2010 ERST, UNDP - NEMA pasture reserves and 1,326 households each owning of more than 400 livestock used the pastures in border zones and stripes. In addition, almost 15,000 households went to otor in other soums or aimags. Looking at the statistics of Mongolia, it can be calculated that around 20,000 herder households own more than 400 livestock each, and that most of these herder households went to otor movement. This suggests that herders do not equally access to otor practice. It would be interesting to understand why, and to try to develop more inclusive policy regarding this issue. • Equally, the issue of livestock and meat export is of course not likely to be solved in the short run if they have not been properly marketed in advance. To product livestock or meat matching the customer's expectations demands more than a few weeks, as it has been illustrated by the poor results of export as a de-stocking measure. What appears through the central government's decisions is therefore a lack of anticipation, as the result of a poor acknowledgement of previous dzuds lessons. Even if relevant, the decisions made during late summer were under the severe constraint of an unsustainable husbandry system they could not change in a few weeks. The governmental management system for such a situation was also unlikely to be significantly improved at so short notice. Moreover, the absence of any national plan to respond to such a situation can also be considered as an evidence of a lack of preparation. Response to slow onset disasters such as dzud needs to be planned from its very first stages on. It means that, as soon as the warning of a possible dzud is released, some planned measures should be triggered as a first stage response, including implementation and monitoring of local measures. Indeed, the effects of the Government's decisions were also limited by a poor preparation at local level. 5.3. Preparation at local level Winter preparatory assignments in terms of livestock husbandry for aimag and soum governor’s offices have been continued from former collectives and their integrated planning approach to winter. But, unlike socialist period, when coordination and supply of necessary equipments and feed for all aimags were planned and managed by central government, today’s support from this latter to both local authorities and herders themselves is quite limited. Local governments are left with very few means to deal with winter preparation issues, and there is moreover no directive mechanism for them to administer herders. Central government thus entrusts local authorities with the task of organizing herders to prepare hay and fodder, warm up shelters and build fences, even though those stocks are private, and with very few incentives to do so. According to MoFALI “Guideline on what to prepare for livestock to pass winter and spring and its monitoring and evaluation manual”, all local governments and herders are assigned to carry out the following tasks: • Calculation of pasture carrying capacity; • Preparation of aimag and soum emergency hay and fodder reserves and their mobilization; • Calculation of the number of water points and all type of wells, along with ready-to- use and required livestock shelters; • Organization of otor movement within aimag and to inter-aimag pasture reserves, based on survey; 21 Dzud National Report 2009-2010 ERST, UNDP - NEMA • Calculation of the number of herder households with their respective livestock to pass winter (detailed survey of livestock to be fed in shelters and require feed addition to pasture grazing); • Monitoring of households feed reserves and their private preparation. In northern region, these preparatory tasks were conducted together with autumn harvest between late August and October. In the southern half of the country, they were performed a little bit later from September to late October. Therefore, aimags reports on winter preparation were only available in late October, and MoFALI could not submit the subsequent national report to Cabinet meeting before early November. Considering its importance, the specific issue of hay and fodder preparation at local level needs further explanations. According to the guideline developed by MoFALI, soum governor’s office has to organize soum hay and fodder reserve. This should be sufficient for all soum livestock for 3 days. Moreover, the herders themselves are supposed to complete their own hay and fodder preparation, namely 30 kg per sheep unit in semi-forest region, 10 kg in steppe, 3 kg in Gobi region; and fodder enough for all female breeding livestock for 120 days (semi-forest), 90 days (steppe) or 60 days (Gobi). If properly prepared, public reserves at national, aimag and soum levels combined with herders’ individual reserves in semi-forest, steppe and Gobi regions should feed their respective livestock for 12 days in Gobi region, 19 days in steppe region, and 39 days in semi-forest region. However, the main part of these reserves is expected to be prepared by the herders themselves, whereas public reserves are only a small and supplementary amount. Last year, most of the soums reported that they successfully performed winter preparatory works, completing them at an average 85 %, varying between 59% and 97% at aimag level. It means that herders had made hay and fodder enough for 30 days plus aimag and soum reserves for all livestock for three days. But in reality, most soums did not prepare any hay and fodder reserves, as it was later confirmed during the assessment mission by SEC and UN organizations. Many soum officials complained at this time that they didn't have any allocated budget from the government to make hay and fodder. However, encouraged by the resolution No 296 and as a response to it, aimag and soums reported that they had conducted most of the expected preparatory activities. But the provision of these reports imperfectly describes what has been the real winter preparation by local authorities. There are neither assessments of soum or aimag preparedness, nor monitoring of their activities. How they worked during summer and autumn remains unknown. The example of hay and fodder preparation shows that reports can be a little bit different from realities, and several governors were publicly reprimanded by the government's resolution 367 issued on December 11th, for their poor preparedness. However, there could be an endless dispute to decide who is responsible for insufficient local preparation work. Are the local authorities guilty of not having worked hard enough, or is the central government responsible for not having provided necessary means and resources to reach the goals it assigned? The beginning of an answer could be given by looking into local budgets, how they work, which wiggle room do local authorities have to manage them, and make them match both local and national priorities. At aimag level, the necessary funds for winter preparation are located in a part of the budget called Local Reserve Fund. This part of the budget is a very small proportion of the whole available funds. In TUV aimag, for instance, it fluctuates, depending on the year, between a 22 Dzud National Report 2009-2010 ERST, UNDP - NEMA total of 60 to 150 million MNT, out of 5.6 thousand million which are the total budget of aimag29. In the best years, this reserve fund is then 0.26 % of the total budget. However, these funds are not only allocated to the local preparation of hay and fodder, but this possible use has to compete with other needs, such as, for instance, the financing of local festivities for Naadam annual celebrations, or the payment of some social allowances. Moreover, local authorities do not have a complete freedom to share these funds out among their different possible uses, since these decisions are made under control of local parliaments. It is likely that, for these assemblies, the disaster preparation issue is not necessarily always the first priority. The competition for the use of these small amounts, which are moreover the only local room for manoeuvre, may then be quite harsh... Furthermore, most of the locally available funds are managed at central level - even if local authorities have specific and identified accounts - in that sense that their allocation is decided by central government with no possibilities for local authorities to reallocate them in order to really meet the local needs. Rather than local budget with local management empowerment, the locally available funds are local expenditures of central government, and it is therefore rather unfair to blame local authorities for a management they are not really entrusted with. The situation is basically the same at soum level, with fewer funds available for winter preparation and the same competition between different more or less popular possible uses. In this situation, local authorities try sometimes to find coping solutions, such as bargaining with local private companies for the funding of disaster management related issues. But they do not all have the same possibilities, depending on the number and prosperity of local private entities they can deal with. Between central and local authorities, the process of winter preparation then consists in the fact that central government assigns tasks to local authorities, but with no specific mean to perform them, nor even any freedom to reallocate local budgets to meet the needs which are thus created. This process may therefore be sometimes only a kind of wishful thinking, where central government issues orders without monitoring their implementation nor allocating the necessary means to perform the corresponding tasks, meanwhile local authorities have to cope with local assemblies and the few available funds to meet, as far as possible, all the competing needs. Any improvement of public preparation system would then suppose to increase the financial autonomy of local governments, within a general framework drawn by the government, and under appropriate control. The failure of last winter's preparation is also, if not mainly, the failure of the current centralized system. The resolution 137 of the Government of Mongolia, which is the approved national recovery plan, addresses then rightly this issue of decentralization, and this approach should be strongly supported as a promising way of improvement for winter preparation, even if it is a difficult one. Lastly, as well as the central government, local authorities do not have any plan to respond to possible dzud situation, which also demonstrates a lack of preparation. 29 Interview with TUV aimag's governor and head of Finances Department, October 22nd, 2010. 23 Dzud National Report 2009-2010 ERST, UNDP - NEMA 5.4. Individual and community preparation Individual and community preparation should be the key of any serious readiness to face winter and dzud. Individual, because herd is today a private asset, and because Mongolian state has lost the means it had during socialist time to lead and ensure this preparation. Community, because organized common preparation is easier to perform than individual one, and ensures a more comprehensive and inclusive framework. Herder preparedness at individual and community level is difficult to assess, mainly because of the diversity of situations. It differed depending on aimags, soums and natural zones. It also, actually, differed from one household to another. An assessment mission in DUNDGOVI aimag, conducted from March 3rd to 15th, 2010 by UNDP, revealed that a few successful herders remained without any or with only few livestock losses thanks to their outstanding herding skills and proper preparation for the winter. The same assessment has been done by the ERST mission in ZAVKHAN aimag, at the beginning of July. The key of their success notably rests on the relevant choices they have done regarding de-stocking and winter feed preparation, and the effectiveness of their choices exemplifies their professional skills. 5.4.1. De-stocking and hay and fodder preparation These skills are all the more necessaries that there are no simple and absolute rules to define a proper winter preparation. For instance, Herder JAMBALDORJ slaughtered 200 weak animals with less probability to survive the winter from his entire herd of 700. With this additional cash he bought more hay and fodder, and made his livestock winter shelter warmer. Thanks to these measures, he had only three animals dead in March. However, another case of de-stocking for winter preparation at TSGAANCHULUUT soum, ZAVKHAN aimag, proved less efficient. Slaughtering 100 sheep and goats and 10 cattle in order to buy hay and fodder with the cash did not work well. Herder Ms. P. TSEYENKHORLOO received only 300,000 MNT after paying transportation and other related costs to ULAANBAATAR. Because of summer drought, livestock did not fatten well, and distance from ULAANBAATAR (1100 km) also reduced her profit. This case exemplifies that it proved not so profitable to take de-stocking measures individually in distant aimags such as UVS, KHOVD, ZAVKHAN and GOVI-ALTAI aimags, if there was no local market capacity. This herder regrets for not having made the alternative choice of storing the meat in cold storage until spring and then selling it when the price was tripled. The incentive to and the effectiveness of de-stocking measures are then dependant on the existence of a reliable and approachable market, which itself needs to be regulated, notably by storage capacities. Anyway, the key issue for overcoming winter without any major livestock losses has always been the availability, and then the preparation, of sufficient amount of hay and fodder. The households, having been interviewed during different assessment missions by SEC, FAO, UNDP, MRCS, and other UN or development agencies since January 2010, confirmed that most of livestock losses were caused by starvation. This need of available stored feed is easily understandable, considering that, due to the summer drought, livestock didn't fatten enough to sustain itself. It had then to be provided with external feed, which was difficult, if not impossible, to access in the pasture due to dzud. Therefore, the only effective solution would have been to feed it with beforehand prepared resource. The main responsibility for this preparation is on the herders themselves, public reserves being only a small supplementary stock. The response to dzud led by FAO, consisting in providing herders 24 Dzud National Report 2009-2010 ERST, UNDP - NEMA with concentrate feed, proved quite effective and thus demonstrated that the key issue for dzud preparation is really the one of feed. And yet, the result of many assessments showed that almost 90% of dzud affected households did not prepare more than 10 hay cubes/bales, which would be only sufficient for 173 sheep for one day30. This amount is obviously quite insufficient since, as said above, public reserves are nowadays very low, and cannot substitute for individual preparation. 5.4.2. The use of bank loans Most of the households in DUNDGOVI aimag had loans from Khan Bank, mainly for the purpose of purchasing additional bales of hay, fodder and / or fuel to go to distant otor. This debt is another burden to herders in addition to the loss of their livestock. According to early recovery survey report by UNDP (March 2010), 60.7% of interviewed herders (263 respondents in 21 soums of 9 aimags) responded that they had bank loans. Out of the respondents who had loans, a majority of 62.3% had debt less than one million MNT, 33.1% owed from 1 to 5 million MNT, and 4.5% owed over 5 million MNT. Considering the dzud effects on these herders, 83% had no financial sources to secure their livelihoods and to start new businesses, placing the commercial banks at a very high risk of losing their credits. During assessment missions, a strong demand of many herders was that the repayment of these loans could be deferred, and the payment of interests cancelled or diminished. The government of Mongolia is still trying to negotiate a solution to this problem with commercial banks. This demonstrates that the use of bank loans to prepare winter absolutely needs to be combined with an insurance system, which should continue to scale up in Mongolia. Otherwise, in case of severe dzud or of herder's preparation failure, these loans can only trap the beneficiaries in increased difficulties. 5.4.3. Being herder is a profession In the aftermath of dzud, some herders looked back at this experience critically: one third of them thought that the preparation for the winter was not well done, without reserving sufficient fodder and hay, having no repair of livestock fences and warm shelters. Some of them linked their failure with the poor land management, including overgrazing due to an excessive livestock number. Some senior and experienced herders noted an overall climate change trend, not favourable to livestock herding with decreased rain fall and increased drought (UNDP Rapid Assessment, March 2010). In their opinion, management of cooperatives during the socialist time was much more effective in terms of adequate pasture management, provision of better veterinary services, livestock breeding program and implementation of strict requirements for herding business. They thought that too many herders had poor professional skills, and were excessively relying on motorbikes and binoculars for their daily activities. Herders have frequently reported that to sustain their livelihoods, they needed to learn business management, project implementation, and small farming skills like processing of 30 According to National Standard MNS 592:88, bales had to be pressed tight to weight 17.3 kg a piece, with a size of 50 X 36 X 80 with density of 120 kg/m3. Daily intake of a sheep is calculated as one kg per day during winter time in estimation of carrying capacity by MoFALI and NAMEM. 25 Dzud National Report 2009-2010 ERST, UNDP - NEMA livestock commodities, growing of vegetable, pasture irrigation and management (UNDP Early recovery survey, 2010). However, most of the herders perceived that they generally had sufficient pastoral herding knowledge and skills. This last assessment needs to be put in perspective, and cannot be considered as generally true. Herders who came from other sectors after the collapse of collectives during 1990s as well as new generations of young herders, cannot have gained proper knowledge since 1990s. From this time on, professional livestock zoologists and pasture experts no longer worked with and managed herders. Due to the lack of vocational training, an increasing number of herders have to rely on empirical knowledge, or even on rumours or sometimes strange beliefs. For instance, dozens of neighbouring herders rumoured each other that pregnant livestock was more capable to overcome dzud and starvation than other female livestock. Of course, they lost all pregnant livestock along with breeding males (ERST Assessment, June 2010). Such misunderstanding and wrong information were combined with lack of knowledge about pasture nutritional quality and suitability for different types of livestock, topography and elevation, etc., all knowledge which proved quite essential to former or senior herders for proper selection of pastures throughout the year. Even if there is no evidence of this, one can also wonder if one of the causes of the poor preparation of too many herders was not, for some of them, their impoverishment due to previous dzud, which led them on the very edge of subsistence, and thus deprived them of sufficient means to conduct a proper preparation. Dzud could then trap the most affected herders in a lasting poverty and in a vicious circle where impoverishment leads to lack of preparation, and lack of preparation to impoverishment. Indeed, and generally speaking, one can consider that those few herders who successfully overcame winter had three kinds of assets, and properly used them. First, they were skilled and experienced people, who were able to anticipate dzud in the management of their herd. Second, they had sufficient workforce at their disposal (either human, because of their family, or mechanic, because they had tractors or trucks) to prepare hay and fodder. Lastly, the capital they possessed, either by cash or by livestock, ensured them safety margins to make their decisions. In other words, they were real entrepreneurs. 5.5. Was Mongolia prepared to face dzud? At the end of this attempt to review national, local and individual preparation, it is possible to try to summarize an assessment of overall preparedness of Mongolia to face a new dzud. And this assessment is, unfortunately, negative. First, the Government of Mongolia tried its best to mitigate the consequences of a very bad forecast for next winter. But it could not, within some short weeks, offset the consequences of a poor livestock policy, of a neglected pasture management, of the depletion of veterinary services, and of the poor abilities of so many “herders”. Nor could it improve at so short notice its own ability to coordinate and monitor the implementation and effectiveness of the measures it ordered. Second, local authorities, unevenly committed to this winter preparation, seem to have generally been more anxious to deliver satisfactory reports to central authorities than to undertake the actions which could have justified them. It is nevertheless doubtful that they had the necessary means and resources to successfully complete the tasks they were expected to perform. This issue will probably remain without satisfactory answer, since the central 26 Dzud National Report 2009-2010 ERST, UNDP - NEMA government did not, from its side; undertake any serious action to monitor the implementations of its decisions, nor to assess the conditions of their effectiveness. Third, too many people in Mongolia are livestock owners rather than herders. The responsibility to face an adverse situation like dzud is, first and foremost, the one of herders themselves, because anyone can know what to do to prevent it from turning to disaster: reduce the number of animals, stock winter feed, and prepare convenient shelters. For those who performed these tasks, dzud was not a disaster. For the others, who probably relied either on chance or on the supposed effectiveness of public preparation, it was a tragedy. This lack of preparation at all the levels of Mongolian society, to face a phenomenon which is well-known, as are the policies to mitigate its consequences and the means to reduce its impact, suggests that the dzud issue might be a systemic problem. It means that the solutions to properly deal with it will not be found by addressing only or separately such or such part of public policies or organizations, but by first understanding why the whole system in itself is unable to draw up and implement the proper solutions. At the end of 2009 summer, Mongolians were warned that they would have to face a situation to which their whole society was unprepared. 5.6. Early warning It is first necessary to agree on a definition of 'early warning'. Indeed, a lot of people tend to mix two kinds of warning, which leads to confuse assessments and prevents from bringing relevant improvements to the system. 'Early warning' could be defined as the fact, for the Government or its relevant institutions, to warn the population, as soon as possible, that a disaster is likely to occur in a predictable future. In case of a dzud, which is in the same time a slow onset and long lasting disaster, it means that early warning is: • A global warning, which does not address small events encompassed within the disaster process, but the whole process itself; the population, and above all the herders, should be warned of a possible dzud. • A warning issued as soon as possible, in order to be effective. Indeed, the preparation for winter is a process which needs time and resources, and which will be easier to complete that it will have been started sooner. • An explicit warning, which means that it should explicitly and repeatedly describe what is likely to happen, rather than rely on the hypothesis that people will be able to understand implicit messages. Other warnings can of course be issued during the long lasting process of dzud. Most of them will be related to meteorological issues, such as warning on snow or dust storms, drop of temperatures etc. These are generally issued at short notice, and thus can only be useful for immediate precautions, but they cannot be useful to prompt people to complete their winter preparation since, when they are issued, it is obviously too late to do so. Thus, they cannot be considered as 'early warnings' of a possible dzud The figure below shows the early warning process, which starts with data aggregation at the end of summer, follows on with their analysis and leads to the dissemination of possible early warning messages. As said above, the relevant assessments were timely completed, so that Government has been able to issue its specific resolution on September 23rd. Due to its basis 27 Dzud National Report 2009-2010 ERST, UNDP - NEMA and to its provisions, this resolution can be considered as the first stage of the early warning process. Chart 1: Structure of Early Warning This figure has been drawn according to the information given by Mongolian institutional stakeholders. The process it illustrates is neither based on a fixed framework nor designed by official regulations, but on the empirical and more or less organized practice of different institutions. That is probably why it looks quite confusing, and not necessarily so efficient. Several institutions seem to be entrusted with similar tasks, designing a loosely organized early warning system which is not favourable to a clear and easily understandable dissemination of alert. There is no evidence that this alert really and explicitly reached the herders on the spot and, if it did, to which extent they understood it and took it into account. According to the reports established by relevant ministries and agencies, it seems first that the ‘early warning process’ has been mixed up with the current forecast of weather and that no specific activities have been undertaken in order to disseminate an ‘early warning’ message, as described above. Indeed, the NEMA has established contracts with major media, including daily newspapers and national television broadcasters on enhancing disaster information management and early warning system. The 2010 semi-annual report of the NEMA Media and Public Relations department noted that over 960 news, interviews, and facts on various accidents or disasters (storms, forest and domestic fires, human and livestock contagious diseases, avian influenza and dzud) were released through 16 newspapers, 14 TV stations, and 7 different radios. During onset of any emerging disaster situation, including dzud, a live interview with participation of NEMA and other stakeholders was organized. Total of 18 such interviews were held. From October 2009 to February 2010, 35 warnings about strong dust storms were broadcasted in order to prevent rural population from possible loss. Also, the report indicates that most of media warnings were about forest fire, but during dzud period in October 2009 – February 2010 a ‘dzud weather warning’ was also prepared in conjunction with the Mongolian National Broadcasting, the only public station. The dzud warning had a special signal at the start that took attention of TV viewers. In addition, the text had three exclamation marks for visual effects. Moreover, the warnings were broadcasted in pick hours, 7 – 9 pm, before major news hours. The dzud warnings also were delivered to 21 28 Dzud National Report 2009-2010 ERST, UNDP - NEMA training & advocacy specialists of all local NEMA, who in turn arranged local television broadcasting. In addition, a warning message for travellers was produced and broadcasted by NTV that advised preparation tips for individuals in case of snow-blocked roads. Many private television stations, (NTV, TV 9, UBS, MN25, Education TV, and Eagle TV), delivered disaster warnings at no cost based on the Disaster protection law and advocacy efforts of the Media and Public relations of the NEMA. The Ministry of Environment was responsible for providing forecast information on possible disaster or dangerous weather conditions. Moreover, the National Agency for Meteorology, Hydrology and Environment Monitoring worked with public and private televisions. It increased the frequency of its weather news up to 10 times a day. The national website (www.tsag-agaar.mn) also has had weather updates and forecast for 7 days, and for up to 3 months in advance. In addition, a press conference, live TV interviews were held with NEMA’s participation on the possible disastrous weather conditions, which in turn assisted in overcoming snow and dust storms with less loss. In January and February of 2010, early warning messages were prepared 2-3 days in advance along with NEMA’s assistance and were disseminated nationwide through major information channels, including TV, radio, newspapers, and websites31. The early warning messages were mainly based on weather forecast for the next three days. However, these messages were not about to mitigate impacts of disasters nor based on information needs of the public. Lastly, no follow up or assessment was conducted to evaluate effectiveness of the early warning messages and to identify the most accepted communication channels. Nevertheless, weather forecasts were quite precise. They warned on possible precipitation and temperature drop for next 10 days. The monthly prediction even included blizzard prediction with its speed. However, they lacked of necessary accuracy about location of the predicted events: information about possible blizzard and heavy snow fall at aimag level, without any details at soum and bagh level, is neither so precise nor so useful to end-users, including herders and soum officials. Indeed, the total area of most of the aimags is around 80.000 square km, bigger than Scotland, and the largest one is 165,000 square km, bigger than England. It proved however possible to improve this accuracy: for instance, in UVURKHANGAI aimag, every day at 3.15 pm the local weather forecast for each soum was broadcasted via Mongolian National Radio, and broadcasting fee was covered by the aimag governor’s office. This kind of very local information and warning should be encouraged. In addition to radio and television, the weather news was disseminated via mobile phone, and a verbal communication from one herder to others. The most used communication channels among herders were the National Radio, Mongolian National Broadcasting TV, and G- mobile, the cell phone network. The pick hour of the Radio was daily news at 3 p.m. vs. the TV news at 8 p.m. The dzud warning was disseminated by mainly local meteorological agency, NEMA, and national and aimag TV & radio. As an alternative to national warning, a new initiative on local warning system was piloted in ERDENEDALAI soum of DUNDGOVI, where UNDP provided herders with a G-mobile phone. Also, Agriculture Risk Research Centre, a national non-governmental organization installed a MOBICOM satellite antenna, which widened a phone signal up to 70 km away from the soum centre. The main objective of the pilot project was to establish local network that intends to disseminate extreme weather forecast to soum herders to ensure their disaster preparedness. The aimag Institution of Hydro-Meteorology and Environment Monitoring 31 Ministry of Environment provided a report as a response to the ERST request on the 2010 dzud report, Ulaanbaatar, Mongolia 29 Dzud National Report 2009-2010 ERST, UNDP - NEMA prepares warning and weather forecasts of disasters of natural origins 3-4 days in advance. The soum meteorological agency provides detailed message about possible disastrous weather conditions for soum territory and delivers it to 15 main focal points/herders, who in turn expected to transmit this information to the next herder focal point, who also informs neighbouring herders. Also, local FM radio station located at the soum meteorological agency announces the weather forecast, which is received by herders via their FM radio receivers. A post-survey was conducted to measure effectiveness of this early warning pilot project and interviewed 46 herder households from 5 baghs of ERDENEDALAI soum. The survey report indicates that local FM radio and cellular phones are effective in prevention from disasters or search & rescue operations of humans, however maintaining a regular function of the local early warning system is a continuous process that requires commitment from herders and soum authorities. Particularly, early warning was delivered faster through focal point herders, who worked as local early warning group. The herders who were part of this early warning group had less livestock loss and no one was lost during storms. Communication device like cell phone was essential in this type of warning system32. To summarize this issue early warning dissemination, which is of paramount importance to reduce dzud impact, one can say that the basic data as well as the channels to disseminate them were available, and that these former have been widely used during last dzud. However, two main lessons should be drawn from this experience: • it does not seem that sufficient emphasis has given to early warning message itself, as it has been defined above, namely as the message to be disseminated when there is still available time to improve preparation. At the end of the summer, when the government gets the first assessments and forecasts about next winter, and as far as a possible dzud is planned, an explicit, clear and widely disseminated message should be issued. A yearly communication plan should be drafted and implemented. • Beyond this genuine 'early warning' process, there is also room to improve the dissemination of short term events warning, in terms of channels as well as in terms of geographical accuracy. It would be advisable to draw lessons from last year to improve the communication at this stage. Such an improvement should include the assessment of messages, with both pre and post-surveys, regarding their content as well as the targets they reach. It could also draw lessons from the ERDENEDALAI experience to set up fine tuned systems, aimed at reaching herders at a very local level with relevant information. Moreover, there has been during last winter a lack of proactive assessment of information needs of the public. Most media coverage was about possible harsh winter; however few addressed coping strategies or ways of preparing for the dzud. Media messages were not prepared in advance reflecting lessons learned from previous dzuds. 5.7. What to (re)learn from preparation and early warning stages • There has been and is still a crucial lack of an operational coordinating body, 5.7.1. About the institutional framework of preparation which should be entrusted with the task of winter preparation. Apart from the Government itself, which is obviously the proper level to issue strategic decisions, no institution is clearly leading the implementation of these decisions, and 32 UNDP (2010). Report on Early Warning system in ERDENEDALAI soum, DUNDGOVI, Mongolia 30 Dzud National Report 2009-2010 ERST, UNDP - NEMA responsible for the results of preparation. A lot of stakeholders take part to this work: line ministries, agencies, local authorities. All of them are strongly committed to their preparation task and work hard to achieve it. However, due to the lack of a proper coordination system, they probably waste a lot of time in informal discussions and meetings, with few specific expected and predictable outputs. And, as a result, the overall effectiveness of the system is lower than the sum total of the individual efforts of all stakeholders. • Because of this lack of daily operational coordination, there is also a crucial lack of monitoring of winter preparation. The bureaucratic process of reporting and assessing this preparation is completely dissociated from the reality, and doesn't provide any relevant result, as it has been proved during last winter. As well as no institution is responsible for the coordination of preparation, none is responsible for monitoring it. • The sharing of responsibilities between different administrative levels, as well as the availability of means are today quite confusing, and do not design an effective public preparation system. A clear definition of the duties of each level, in relation with a fixed and transparent allocation of corresponding means is then necessary. Contradictory monitoring of local winter preparation, between central and local authorities, could help to define the criteria of such an allocation. Increasing financial autonomy of local governments and their power over pasture management under appropriate controls would be a relevant response. The decentralization of public winter preparation is a key issue, which should be addressed as such. • Dzud is one of the major disaster threats in Mongolia: a national plan to respond to it as soon as possible (i.e. as soon as warning is released) should be drafted, tested and continuously improved. It should also have local components. Building human resources capacity at both national and local level in order to improve crisis preparation and management skills should also be supported. This planning is all the more necessary that it's a relatively easy process to implement, which would prove highly cost-effective. • Neither winter preparation nor early warning measures can efficiently offset a 5.7.2. About livestock policy and winter preparation.  lastingly unbalanced livestock policy. In the long term, reduction of dzud impact necessarily demands a convenient balance between Mongolian pasture carrying capacity and the number of livestock. • Among the measures to be promoted for winter preparation, de-stocking is probably one of the most efficient. It could also prevent overgrazing in specific terms and land degradation in general terms, and help to keep the balance above described. The possibility of seasonal de-stocking as a normal way for livestock regulation is depending on all year round proper market facilities, which also could solve at least part of the herder's income issues and be part of a desirable general livestock policy. This former notably needs to be promoted in Mongolia by creating proper mechanisms and infrastructure such as storage capacity, enabling of meat export to neighbouring countries, organizing and supporting local meat sellers/exporters, improvement of veterinary services etc. The purpose of this report is not to describe what should be a convenient livestock policy, but to underline that this one is the essential starting point to face dzud issue as well 31 Dzud National Report 2009-2010 ERST, UNDP - NEMA as any other kind of hazard threatening livestock. • Moreover, a great number of assessments, reports and recommendations have been drafted over the years -most of the time as consequences of previous dzuds - to suggest what should be such a policy. Some improvements have been achieved. However, one can wonder why the implementation of this policy proves so difficult and sometimes so disappointing. Even if this issue exceeds the scope of this report, one can imagine that it could be also due to a lack of proper governmental capacity to coordinate the implementation of an interdepartmental policy. • There has been and is still a crucial lack of an operational coordinating body, which should be entrusted with the task of winter preparation. Apart from the Government itself, which is obviously the proper level to issue strategic decisions, no institution is clearly leading the implementation of these decisions, and responsible for the results of preparation. A lot of stakeholders take part to this work: line ministries, agencies, local authorities. All of them are strongly committed to their preparation task and work hard to achieve it. However, due to the lack of a proper coordination system, they probably waste a lot of time in informal discussions and meetings, with few specific expected and predictable outputs. And, as a result, the overall effectiveness of the system is lower than the sum total of the individual efforts of all stakeholders. • Because of this lack of daily operational coordination, there is also a crucial lack of monitoring of winter preparation. The bureaucratic process of reporting and assessing this preparation is completely dissociated from the reality, and doesn't provide any relevant result, as it has been proved during last winter. As well as no institution is responsible for the coordination of preparation, none is responsible for monitoring it. • The sharing of responsibilities between different administrative levels, as well as the availability of means are today quite confusing, and do not design an effective public preparation system. A clear definition of the duties of each level, in relation with a fixed and transparent allocation of corresponding means is then necessary. Contradictory monitoring of local winter preparation, between central and local authorities, could help to define the criteria of such an allocation. Increasing financial autonomy of local governments and their power over pasture management under appropriate controls would be a relevant response. The decentralization of public winter preparation is a key issue, which should be addressed as such. • Dzud is one of the major disaster threats in Mongolia: a national plan to respond to it as soon as possible (i.e. as soon as warning is released) should be drafted, tested and continuously improved. It should also have local components. Building human resources capacity at both national and local level in order to improve crisis preparation and management skills should also be supported. This planning is all the more necessary that it's a relatively easy process to implement, which would prove highly cost-effective. 5.7.3. About herders’ capacities The impact of dzud has been dramatically worsened because of a lack of individual preparation of herders, in a system which mainly, if not always explicitly, relies on their 32 Dzud National Report 2009-2010 ERST, UNDP - NEMA commitment. Therefore, the issue of herder's skills and professional capacity should be addressed. As there are huge knowledge gaps in winter preparedness and risk management between herders: • Skill transfer activities from older to younger generation could be performed through direct herder targeted programmes in short term. Herders groups and cooperatives should play a major role in this process, and this is another reason to continue to support them and try to increase their number and scope of work. • Herder-targeted and demand oriented vocational training and certification system in the area of business entrepreneurship and herding skill should be introduced through government policies and regulation in longer term. • Any restocking policy or programme should be linked with basic training and the mastery of some basics about winter preparation. 5.7.4. About financial services and livestock insurance In addition to banking services in rural area, it is essential that livestock insurance and natural hazards risk insurance continue to scale up nationwide. It also needs to insure credit financed livestock investments and lenders in rural area. The banking services such as credit for herders and micro finance services need to partner with insurance companies to reduce risks and help herders to overcome winter difficulties. • Early warning proved poorly effective, notably in order to improve the individual 5.7.5. About early warning preparation of herders. This could be due to an insufficient emphasis put on the very 'early warning' stage of the dzud process, which could be confused with more daily messages and warnings. Even if there are a lot of available relevant forecasts and predictions, these shouldn't be mixed up with a necessary early warning system, consisting in informing as soon as possible the population, and specifically the herders, of a possible forthcoming dzud. This 'early warning' should be disseminated as soon as possible, and namely when the assessment made by relevant ministries and agencies are available, at the end of summer. It should be based on a communication plan, the implementation of which should be monitored and assessed. • Many different weather prediction and warning information are produced by professional organizations such as NAMEM and its branches. Reading this weather forecast is not an easy task for people who are not professional on meteorology. Its delivery to herders, in user friendly terms, should be organized, and forecast accuracy at soum and bagh level should be improved. • Early warning of severe weather and blizzards did not work well at herders’ level, since they didn't encourage them to improve their preparedness. Raising young herders’ trust in forecasts and improving their ability to take them into account should be part of their training programmes. 6. 2009 dzud disaster and immediate response 6.1. Magnitude of dzud and its process Snow fell from October 10th in mountainous regions and 20th in Steppe and Gobi regions including ZAVKHAN, UVS, KHOVD, TUV, BAYANKHONGOR, ARKHANGAI, UVURKHANGAI and KHUVSGUL aimags. It melted after warming up in early November, 33 Dzud National Report 2009-2010 ERST, UNDP - NEMA and froze again with wintry mixes on November 5 – 7, making ground ice cover. The first blizzards happened in late October reaching 24 m/sec. Heavy snow continued in November covering 75% of total territory: 25% were covered with thick snow (more than 5 cm) and 3% with 10 to 38 cm thick snow. Livestock started to die as early as November. Chart two shows how snow cover was accumulated in the last winter by months. On December 31, only 12% of total soums were free of snow, another quarter of them were covered with 6 to 10 cm thick snow, and 15% with more than 10 cm. Increased blizzard with average temperature below minus 30°C had worsened the situation, especially in KHANGAI mountainous areas and central part of semi-arid zone covering UVURKHANGAI, DUNDGOVI and TUV aimags. This climatic condition continued until early March in these areas, without any significant changes. Additionally, snow hardened and created wind slabs in gullies and crust over flat area by wind blow and blizzards throughout this period. Beginning from early March, upper snow layer was melted by day warm temperature and frozen over nights, creating ice cover that remained until early April. Chart 2: Snow Coverage of soums by Months 2009-2010 Following the melting down of snow in early March, the sequence of the night freezing cold and dry dust storms started in Altai mountain ranges and Gobi region. Speed of storms averaged 16 m/sec in Uvurkhangai and Dundgobi aimags, but less in the Khangai mountainous area. Beginning from mid April, snow cover became thinner in most of the territory, but still with hardened layer and crust with dust particles, which made livestock unable to graze over. It was then crowded in the snow melted open areas. In the whole country, winter temperatures have been 6 centigrade colder than average. 34 Dzud National Report 2009-2010 ERST, UNDP - NEMA Graph 4: Mean Temperature from October 2009 - April 2010 The main negative impact of this winter process on livestock was that it prevented it from grazing or even accessing the natural pastures. Usually, herders keep their livestock in shelters or fences during blizzards and wind storms. The other days, they let it graze in the open pasture, sometimes helping it to dig snow and even clearing the pastures using hand made large rakes. This year, herders have experienced again the freezing cold they were told of by their grandparents, as the myth or story of 1944-1945 winter dzud. Indeed, the 2009- 2010 dzud has been the most severe since 1945. This lasting impossibility to graze led livestock to get weaker quickly within two weeks and freeze in the uncovered shelters or outside the gers, unsheltered from blizzard and cold. All these consequences of climatic phenomena doubled with the poor preparedness of most of the herders and the insufficient storage of hay and fodder (see Annex 2 for more details about 2009-2010 winter weather review). 6.2. Impact and consequences of dzud The most obvious and visible effect of dzud is the huge number of livestock losses. However, this phenomenon also has many other consequences, such as the impoverishment of a large part of Mongolian rural population, a lowering of the country's GDP, an impact on public health in the dzud affected areas with, for instance, an increase of malnutrition. It also leads to forced migrations towards urban areas, people who have lost their livestock, and then their livelihood, looking for jobs and most of the time finding only unemployment and lack of basic services and supplies. For instance, a UNFPA survey conducted to identify the causes of migration to urban areas highlighted that 14 % of migrants were driven by the loss of their livelihood as a result of dzuds. Some of its effects can be assessed in the short term, but some others will only appear after months or even years. Thus, this report cannot be a final assessment of last dzud, but only an attempt to underline its main visible impacts. Another preliminary remark has to be done. When assessing the consequences of dzud, it may be useful to take into account and keep in mind the baseline of the country's development, of its infrastructures (mainly in rural areas) and of the capacities of public organizations or private sector in terms of equipment, supply and financial resources. For instance, apart from the dzud's effects, many soums and aimags have no electricity yet, and some others are supplied with only 2 to 4 hours during night time. In such a situation, it is difficult to expect private sector development or effective, continuous and regular public 35 Dzud National Report 2009-2010 ERST, UNDP - NEMA services such as hospitals and schools. Thus, the effects of dzud on infrastructure or on the effectiveness of weak public services should not be over-estimated: most of the difficulties faced by rural Mongolian populations during a dzud year are probably more or less the same than the ones faced during a harsh winter which would not be a dzud. 36 Dzud National Report 2009-2010 ERST, UNDP - NEMA Map 2: 2009-2010 Dzud Affected Areas in Mongolia 37 Dzud National Report 2009-2010 ERST, UNDP - NEMA The main impact of dzud obviously occurred on the agricultural sector, specifically on herders and their livelihoods. However, it also created some difficulties in the sectors of public and social service delivery, road and transportation, or fuel and energy. Due to these effects, every Aimag emergency commissions and governors identified their needs and transmitted them to State emergency commission through line Ministries and NEMA (see Annex 6 for detailed information about these needs). The State Emergency Commission33 assessed the situation in 8 aimags in January and in 9 aimags in March. 4 aimags provided their own assessments. Based on these data, the Government of Mongolia announced on March 23rd, 2010 that, out of 323 soums, 80 (25%) were in severe dzud, 95 (30%) in moderate dzud, and other 86 at risk. 15 out of 21 aimags have then been declared disaster zones, meaning that more than 760.000 people were affected (28% of Mongolian population, and more than 217.000 families). 6.2.1. Impact in terms of human lives and public health It is obviously difficult to accurately assess the impact of a very harsh winter on human lives and public health. Fine conclusions would need to carry out in depth analysis of numerous parameters, considered in the long term, and such analysis is not the purpose of this report. However, and even if the impact of dzud has most of the time been analysed in terms of livestock losses, it is indisputable that it also had significant impact on human lives. On request of the Early Recovery Support Team of UNDP, the Department of Health, under Ministry of Health, has conducted a comparative analysis of normal six months (from October 2008 to May 2009) with dzud affected six months from October 2009 to May 2010. The analysis covered all 21 aimags and compared the following parameters: - Maternal mortality - Under 1 children’s mortality - Under 5 children’s mortality - Number of outpatient services - Number of in-patient services - Number of emergency calls - Prenatal supervision of pregnant women - Complicated pregnancy - Miscarriages. The comparative analysis report demonstrates that children’s mortality in dzud months was 112 cases more than normal six months. Infant mortality was 244 more than normal months, which equals to 70% of increase. Likewise, outpatient services were increased by 17%, inpatient services by 11%, and emergency calls by 28.5%. On the contrary, the number of pregnant women under prenatal supervision decreased by 0.4% and both complicated pregnancy and miscarriages increased in average 13%34. 33 The State Emergency Commission (SEC) is the interdepartmental and inter-agency emergency working group headed by Deputy Prime Minister. SEC usually meets for emergency decision and allocation of necessary fund when emergency or crises at national level occur in Mongolia. It was dissolved in 2005 after creation of NEMA. However, due to need of inter-agency coordination, SEC was re-established in 2008, as a supposedly effective response to this need. 34 DOH (2010). A health comparative analysis of normal six months to dzud affected six months. 38 Dzud National Report 2009-2010 ERST, UNDP - NEMA Graph 5: Health Data between October - May in 2008 - 2009 and 2009 - 2010 Other clues tend to prove this impact. According to a rapid assessment conducted by Ministry of Health from February 26 to March 16, 2010, morbidity rate was higher than normal in UVURKHANGAI, ZAVKHAN, UVS and BAYANKHONGOR aimags. 21.600 people or 82.9% of all checked people in ZAVKHAN aimag were also diagnosed as physiological trauma and 3,600 people as insomnia due to stress. 39 Dzud National Report 2009-2010 ERST, UNDP - NEMA Graph 6: Morbidity Rate between October 2009 - January 2010 During the assessment missions conducted by different stakeholders, psychological trauma was widely observed among herder families. There has not been collection of specific data related to suicides, but it is sure that dzud and massive livestock losses led people to commit suicide: 9 occurrences have for instance been reported from GOVI-ALTAI aimag, at the beginning of April35 Apart from suicides occurrences, psychological impact of dzud is not quantifiable. It deserves however the best attention. The only treatment for those people was assistance provided by government and international donors, as well as attention by local authorities. Due to lack of professional people to deal with trauma, this assistance heavily relied on communication skills and far-sighted and practical wisdom of those local elderly people and local authorities. Training on psychological trauma management should be planned as a preparation to possible other disasters. For dzud, the best target group is local authorities and local elderly people. A total of 24 people were lost in blizzards and died of freezing cold from December 2009 to April 2010. But 803 people who were travelling were rescued by NEMA. 6.2.2. Impact on livelihood of affected herders “Saving lives through saving livelihoods” is, as stated in LEGS36 and Sphere, one of the goals of humanitarian aid. Livelihoods of Mongolian herders and of rural people broadly depend on livestock. Even if Mongolian husbandry is mainly subsistence-oriented (and because it is), it provides a lot of household with some of the basic necessary supplies, and a 35 IFRC. Assessment report: livelihoods support in response to dzud disaster in Mongolia. Ulaanbaatar, April 2010, p. 19. 36 Livestock Emergency Guidelines and Standards were developed by the LEGS project, funded and implemented by Tuft University, FAO, US Foreign Disaster Assistance, USAID, Oxfam GB and many other institutions and experts in 2009, in line with Sphere project. http://www.livestock-emergency.net. Sphere Handbook –Humanitarian Charter and Minimum Standards for Disaster Response - was developed by humanitarian NGOs and Red Cross and Red Crescent Movement starting from 1997 on. Current version was published in 2004. http://www.sphereproject.org/ 40 Dzud National Report 2009-2010 ERST, UNDP - NEMA minimal income to purchase others. Without sufficient livestock, these people lose both these resources, become dependent from food aid and slip into poverty. Many other business people who are involved in trading livestock products and processing industries are also affected by any shock to livestock sector. Detailed information about the number of dzud affected people, specifically herders or herder households, has not been counted and disclosed by National Statistic office so far. All monthly statistical bulletins between January and July have just given information about livestock losses in agriculture section, and, starting from August, crop plantation and harvest statistics together with winter preparation status were compiled37. However, NEMA collected number of dzud affected households in January, and MoFALI did so in early April (see annex 5). These numbers were shared with all government agencies and donors for further activities such as re-stocking plans and cash transfer by ADB for herder-households who lost their all livestock. On January 29, 2010 NEMA calculated that dzud struck directly 62,200 herder- households or 223,000 people, threatening their livelihoods and health. From these herders, 21,300 were in food shortages while 10,000 in fuel shortages due to snow blockages in remote area. Around 52,500 herder households had no feed for their livestock and were at the brink of completely losing it. According to MoFALI calculation, on April 13, 2010 the number of households who lost their all livestock was 8,711 (meaning more or less 45,000 people), and another 8,887 households lost more than 90% of it (see annex 5). Over 23,000 households lost between 50 and 90% of their livestock. So, 41,500 households or 24.4% of all herder households at national level in Mongolia had lost more than 50% of their livestock in the Dzud of 2009-2010, according to data collected in April. This number is likely to be actually much more important, since livestock losses have increased by 65 % between April and July 1. If we roughly use the same ratio to estimate how many herders have lost more than 50 % of their livestock on July 1, the number becomes 68,475, or 40 % of all herder households. It is interesting to underline that, if data about the total amount of livestock losses have been calculated and published until the beginning of July on a regular basis, data about impact of these losses on human livelihoods and well-being are much scarcer, and have not been regularly calculated and circulated. The above data about losses per household are for instance the last ones which have been released, in April. This at least underlines a weakness of information and crisis management capacities, because it deprived both government and international donors from proper analysis of the targets of their programmes. 37 See NSO bulletins at http://www.statis.mn/v3/index.php?page=free_access 41 Dzud National Report 2009-2010 ERST, UNDP - NEMA Map 3: Number of Households who lost all livestock in 2009 - 2010 Dzud Map 3 shows which soum herders suffered the most. In Uvurkhangai aimag, 1,689 herders lost all livestock and other 3,140 herders lost 90 %. 3,600 households halved their livestock. Overall 50% of all herder households (16,855) in UVURKHANGAI aimag lost more than 50% of their livestock. This kind of percentage in other 6 aimags namely ZAVKHAN (5,167), ARKHANGAI (4,283), GOVI-ALTAI (3,584), KHOVD (3,555), KHUVSGUL (3,500), DUNDGOVI (2,721) is 51%, 27%, 44%, 40%, 20% and 38% respectively. It can be interpreted that ZAVKHAN and UVURKHANGAI, were the most struck aimags, while the rest of above aimags suffered enormously in some parts or few soums. Local assessment of dzud's impact can be summarized as follow. Starting from end of November, the dzud severely struck three regions; Khangai mountainous area, central region, and Gobi beyond Altai Mountain ranges in KHOVD aimag (see Annex 4 for livestock mortality by aimag). • Khangai mountainous area - mainly aimags of ARKHANGAI, ZAVKHAN and northern tip of BAYANKHONGOR - , GOVI-ALTAI and southern part of KHUVSGUL suffered loss of 600,000 livestock at the end of January. Death toll of livestock was steady during February, increased by 2 to 5 times in March and then slowed down from April to July. Total livestock perished in this region was around 2.5 million, 28% of total livestock mortality and weighs around 35% of total livestock in this region. • Central region composed of TUV, UVURKHANGAI, DUNDGOVI, UMNGOVI and eastern part of ARKHANGAI aimags had already lost almost 700,000 livestock at the end of January. In this region, livestock was crowded in small areas where summer drought had occurred in 2009. It faced cold and repeated freezing blizzards with average snow cover that prevented livestock from grazing. Huge snowdrifts overwhelmed livestock shelters, buildings and gers from the end of February throughout spring time. Livestock mortality was at its peak in March and increased by 42 Dzud National Report 2009-2010 ERST, UNDP - NEMA 2 times compared to February level. The most struck region consisted of these three aimags and some neighbouring soums. The total loss reached 3 million livestock, or almost 50% of local herd. • Gobi beyond Altai Mountain in KHOVD, BAYANKHONGOR and GOVI ALTAI was covered with very thick snow and ice cover from December until late February. This caused the death of 350,000 livestock, or more than half of the affected soums’ total livestock. Repeated blizzards in spring after Tsagaan Sar in February 25, 2010 had killed the remaining livestock that was already weakened. Herders in this area lost almost 1 million livestock in the Dzud of 2009-2010. Cold waves reached their maximum of minus 35 to 45 centigrade during night times in the first two regions, from the end of December to mid February. Other aimags surrounding these two regions suffered from Spring blizzards, and livestock losses were steady over months until July. These losses had immediate impact on the most vulnerable herder's livelihood. Many assessments by donors for instance underline that, as soon as in early January, affected herders faced shortages of food or fuel supplies. These shortages were all the more serious and difficult to overcome that the prices of most of the basic supplies strongly increased, sometimes up to 3 time, making food insecurity a major concern in the affected areas. One of the impacts of dzud has indeed been a sharp rise in inflation rate, for instance to 8.7 % in February 2010, from only 1.9 % in December 2009. One warning issue noted during heavy snow period was insufficient staple supply in combination with high inflation in rural areas. This was observed especially among herder families who were cut off from road access to soum and aimag centres; and inhabitants of dzud affected aimag and soum centres. Rural people are used to early reserve meat and other staple items including flour, rice, and other products in November, after receiving cash by selling meat. But, this year, some of the herders and rural residents were disabled to reserve the necessary supplies they had to buy, because of a lack of cash: they could not sell their perished livestock in late November and early December. Not including losses of those wild animals, Mongolian herders lost 9,726,632 livestock in the dzud and it accounts for 22% of total livestock. These numbers make this dzud the worse one in terms of livestock losses, even worse that the 1945 one, which was up to now considered as the direr disaster in terms of dzud. 6.2.3. Impact on public and social service delivery The data below have been provided by relevant line ministries or agencies on request from the Early Recovery Support Team of the NEMA, through the State Emergency Commission. Accordingly, they reflect the analysis of the consequences of dzud by Mongolian institutions. No occurrences of major closures of public service or local government agencies were officially reported in all dzud affected area. However, many schools shut down their services for elementary school children during blizzard alarm time, and had to extend winter break for 1 to 5 days due to absentee children who were blocked by heavy snow in the countryside. Allocated budget from GoM for fuel such as coal and wood, and electricity had been doubled during extreme cold period of last winter, and room low temperature caused children to become sick. Moreover, heating boilers and pipes were frozen in several aimags and soums. Therefore the departments of education and culture at the aimags re-allocated the budget and faced the heating and health related expenses with GoM budget and humanitarian assistance by UN agencies. Indeed, urgent calls for repairing heating systems in school dormitories, as 43 Dzud National Report 2009-2010 ERST, UNDP - NEMA well as in hospitals were addressed to international donors by the ministries of Health and Education. The issue of heating schools was all the more important that, due to the nomadic way of life of their parents, over 18,000 children used schools dormitories in the most affected provinces. Otherwise, according to official reports, all educational services went according to schedule but with additional expenditure on heating and electricity cost and repair of the heat only boilers. However, these optimistic assessments of the consequences of dzud should be put into perspective. The needs assessments conducted by NGOs or international organizations in this sector confirmed the heavy impact of dzud on the educational sector, with a decrease of children's attendance, the growing parent's inability to afford food and school expenses, and the risk that an increasing number of children drop out from school. Aimag and soum hospitals have been short of medicine reserves due to increased sickness and outbreak of influenza in mainly aimag and soum centres. Scheduled health services and medical check-ups for herder families were interrupted during extreme weather conditions. But with additional financing from the government (see Annex 7 for funding of social service delivery), several medical examinations were organized along with Governor’s offices assessment tours. Detailed survey of the patients with acute and chronic diseases, pregnant women and elderly people above 60 and infants had been conducted by NEMA through Health departments during last winter (see Annex 5). According to the survey, the majority of 5,547 people in snow blocked area who needed urgent medical services were in UVURKHANGAI, ARKHANGAI, BAYAN-ULGII and UMNUGOVI aimags. Other 840 pregnant women who resided in otor or winter camps far from the soum centres were in KHOVD, DUNDGOVI and BAYAN-ULGII aimags. No casualties resulting of failure of medical service delivery have been reported by SEC and donor’s assessment reports. Even if some occurrences could have happened without being reported, this can be explained by traditional rural people's behaviour. Herders usually leave their vulnerable people, including pregnant women and sick people, at their relatives near to or at villages and soum centres. They even sometimes send them to aimag centre or to ULAANBAATAR. This is the traditional lifestyle of herders inherited from old times. Furthermore, the government and humanitarian assistance in health sector between March and July gave positive impacts on reducing risks. However, and even if official reports are rather optimistic about the capacity of Mongolian healthcare system to overcome the consequences of last dzud, it is highly likely that the impact of this event on public health, with increased rates of mortality and widespread increase of diseases, is related to the insufficient capacities of this system. Thanks to the support provided by both international donors and the Government, the system did not collapse. Nevertheless, it has not been able to face the consequences of dzud, nor to absorb the shock it has given to public health. 6.2.4. Impact on road and transportation sector There are two types of roads and passes in Mongolia, which are separately financed by Central and local government. The first consists of the main roads at national level, connecting ULAANBAATAR with all other aimag centres. These roads and passes are maintained by Road Maintenance companies in every aimags, with financing from government budget through Ministry of Road, Transport, Construction and Urban development. As a preparatory measure for winter time, every company placed road patrol, service centres and watch teams with necessary vehicles and equipments near the roads and 44 Dzud National Report 2009-2010 ERST, UNDP - NEMA passes that were usually blocked during blizzards and winter time. A total of 36 road patrol services (each of them having 5 people with a dozer, grader, truck and service vehicle), with financing of 563 million MNT, were established with 24 hour working groups in October 29, 2009 and were in regular and direct contacts with the Road Authority and respective Aimag road departments (see Annex 3 for more information). The main problem the service centres faced with was the freezing of old Russian vehicles: it spent at least half a day for starting engine. The second type consists of roads and passes that connect aimag centres with their respective soums and villages, and some other aimag centres with low traffic. Local governments usually finance maintenance of those roads from their local budget. The road maintenance companies clear the snow blocks upon agreement with aimag governor’s office or Aimag Emergency Commission. However, the priority is given to the main roads. Thus, Aimag Emergency Management Divisions are called for clearing off those local roads during emergencies, as far as they have available means. During dzud period starting from November till April, a total of 2,643 km of roads and mountain passes were cleared off from snow cover and snow-drifts, and 806 million MNT were spent on fuel and other expenses in addition to the regular annual budget of road maintenance nationwide. The most snow blocked aimags were in mountainous areas as well as in central region, which is the transport hub to all other Aimags. Table 3: GoM Spending by Aimags 2009 - 2010 Aimag October - February March Roads/Passes Costs (₮) Roads/passes Costs (₮) cleared (km) cleared (km) Uvurkhangai 493 111,080,110.00 214 24,005,844.00 Zavkhan 168 109,568,896.00 37 31,905,935.00 Khovd 105 93,025,392.00 5 8,418,299.00 Tuv 498 87,045,004.00 0 0.00 Bayan-Ulgii 24 57,059,794.00 8 18,802,886.00 Ulaanbaatar 104 53,524,520.00 155 43,833,073.00 Uvs 202 52,685,627.00 82 17,967,521.00 Arkhangai 43.7 20,580,789.00 0 0.00 Khuvsgul 162 8,759,432.00 0 0.00 Govi-Altai 21.3 14,901,967.00 0 0.00 Dornod 119.5 9,451,864.00 156.5 10,540,564.00 Khentii 0 11,096,364.00 0 0.00 Bayankhongor 0 0.00 46 21205968 Total 1,940.5 628,779,759.00 703.5 176,680,090.00 During the peak of blizzard periods in January and February, almost 1,000 km steppe roads in TUV and UVURKHANGAI aimags were covered with thick snow, which stopped regular transportation. NEMA with transportation centres and traffic police had to close or restrict transportation between ULAANBAATAR and other blizzard warned aimags more than ten times, following up weather alerts and alarm by NAMEM. Death toll by freezing due to extreme cold and blizzards reached 20 adults and 4 children, and more than 750 search and rescue people with 150 vehicles worked in search of lost people and rescued 803 people during last winter. Table 3 shows how much resource was spent in every aimag. Some remote soums behind Altai mountain ranges in KHOVD Aimag were isolated since December 2009. Thus, subsidies were provided to air companies in order to enable public transportation by air 45 Dzud National Report 2009-2010 ERST, UNDP - NEMA plane in BULGAN soum, KHOVD aimag, which also was used for residents of two other soums until May 1st, 2010. 6.2.5. Impact in terms of Fuel and Energy In order to ensure safe and warm winter for households and all organizations, power plants and electricity distribution companies prepared for winter pretty well in advance during warm season. Overall, 48.44 billion MNT were spent on winter preparation, 28.7 billion MNT on repairing, other 13.2 billion on investment and 6.4 billion for operational costs in energy sector. During this winter, due to freezing cold at nights and blizzards, many unexpected emergencies and failures happened, especially between January and March. More demands of electricity and heating from end-users, heating losses, steam pressure increase or fall due to temperature extremes, more use of fuel, frozen pipes, additional service teams, emergency diesel stations or generators, power line fall in blizzards caused to conduct additional services and repair or replace those broken parts and lines. It cost 3.9 billion MNT. Another noticeable effect of harsh winter on energy sector was the consequence of government's tariff control on electricity, and its adverse impact on investment. Such a situation would demand huger amount of government subsidy, because this tariff doesn't even cover the production cost. The winter conditions proved that more investment would be necessary in order to build emergency electricity transmission and distribution lines in BAYAN-ULGII, GOVI-ALTAI, UVURKHANGAI, UVS, and KHOVD aimags. Freezing cold temperature also revealed weaknesses of fuel-inefficient diesel generators and old heat only boilers. Private and public companies and organizations such as schools and hospitals faced with insufficient heating supply due to their energy inefficient building, inadequate warming and sealing of the windows and doors. These caused massive break up of influenza and cold among school children and influenced patients to leave hospital and receive treatments in their houses and homes. 6.2.6. Consequences of dzud: conclusions The main conclusion to be drawn from this attempt of assessing the consequences of dzud is the difficulty to do so. Even several weeks after the end of this phenomenon, it remains very uneasy to draw an accurate assessment of what really happened as consequences of it. Apart from the obvious difficulty of immediately assessing consequences which will appear in the long term, several reasons can explain this situation. The first one is an overall lack of a proper data collection and management system. This issue will be farther examined below, but is worth being mentioned at this stage because it will also explain lacks and failures in the response. Indeed, and for instance, the fact that the data collected mainly, when not only, concern livestock losses is a serious obstacle to the delivery of proper humanitarian support to face other threats. Similarly, the fact that there are no data later than April assessing the number of households affected by livestock losses cannot help to design relevant early recovery policies, since these losses continued to scale up at least in May and June, in significant numbers. Many other examples could be given of this lack. Second, there might be a 'baseline effect' which leads Mongolian authorities from one side, and international donors from the other, to have different assessments of the same situation. It is not sure, for instance, that the situation of school dormitories has been much worse during last winter than during a normal one: it is likely that heating problems are faced 46 Dzud National Report 2009-2010 ERST, UNDP - NEMA every year, and the dzud may have only marginal consequences on such an issue. But, due to the fact that the baseline is not specifically assessed, the impact of dzud is quite impossible to determine. Third, there is an obvious discrepancy between Mongolian official reports, and the assessments which have been done by international donors or NGOs. Reading the Mongolian official reports could lead to the conclusion that dzud has been overcome without major difficulties and consequences. Conversely, assessments provided by international partners emphasize on the huge impact of this phenomenon on the whole Mongolian society, as well as on sectors of major concern for humanitarian action. There might be several reasons to these discrepancies, notably a plausible reluctance of Mongolian officials to report bad news or insufficient achievements, and the 'baseline effect' described above, which leads both these categories of partners to have different assessments of the same situation. But, whatever these reasons are, it might be of great interest to try to reduce these differences, and to share the same standards and assessments tools in order to be able to build up strongly coordinated responses to possible new disasters. 6.3. Response to dzud 6.3.1. The legal framework of response The mainstay of the Mongolian system of crisis management is the State Emergency Commission. The SEC is chaired by Deputy Prime minister, which ensures a proper level for strategic decision making. Six ministers are also members of it: Ministers of Defence; of Environment; of Health; of Road, Transportation, Construction and Urban Development; of Food, Agriculture and Light Industries; of Mines and Energy. The others ministries are represented by their State Secretaries. Lastly, the directors of main agencies or services involved in crisis situations complement the commission, up to a total number of 25 members. The make-up of the commission, which mixes high level politicians like ministers with directors of implementing agencies illustrates how it is stretched between strategic and operational decision making. Indeed, the SEC has to make decisions on everything, on strategic issues as well as on operational daily details even if, regarding strategic issues, it often has to get approval from the Government. Because of this omnipotence of the SEC on disaster related issues, the commission may be very easily overwhelmed with petty details. Moreover, the legal framework also tends to foster an unbalanced sharing of responsibilities between SEC and local level, since it provides that SEC has to operate when local means are insufficient to overcome the consequences of a disaster. Since local means usually almost do not exist, any incident, even very far from disaster, will require the involvement of SEC. This framework, where a powerful centre has to deal with the most trivial incident, whereas local authorities are powerless and unable to act, is obviously unable to properly and timely react to any serious disaster. As a state coordinating body, the State Emergency Commission (SEC) communicates with governmental and non-governmental organizations, private enterprises, and entities in disaster response and recovery. It also communicates with every aimag and soum of Mongolia38. Each aimag or soum has an emergency commission that operates according to a local disaster preparedness plan. This commission consists of 8 members, including information and communication personnel. The communication member is responsible for 38 GoM (2008). The State Emergency Commission guideline, Ulaanbaatar, Mongolia 47 Dzud National Report 2009-2010 ERST, UNDP - NEMA disseminating early warnings, ensuring readiness of communication devices, communication between government agencies, training of public on what to do upon early warning messages, and developing local crisis communication framework. However, and despite of the many very important tasks it is entrusted with, the SEC is not a professional body, working on a permanent basis. It has therefore to rely on other partners for the implementation of its decisions: but this organization is not fixed, and is designed as an ad hoc framework by the SEC itself in case of any disaster. And yet the SEC has its own implementing agency, which is the National Emergency Management Agency. As said above, this agency has notably been established as a result of the previous dzuds, which had exemplified the weaknesses and failures of the Mongolian disaster management system: it was supposed to be a decisive step towards the improvement of its coordination capacity. However, and despite the provisions of the Mongolian Law on Disaster Protection, this Agency does not play the role of a central and unique coordinating body for operational issues. The response to crisis situation also depends on the line ministries and local authorities, which have to make decisions in their own scope of work, or to implement the decisions made by the SEC. However, neither the line ministries nor the local authorities have large amounts of reserved funds in order to react to disasters. They have then to express their needs, even if slight, to the State Emergency Commission, and to wait it to make decision about their funding. These decisions made by SEC nevertheless need to be approved by the Government, before they could be implemented by the Ministry of Finances. This process looks rather bureaucratic, and may be quite slow in disaster situations. Lastly, the SEC, which is entrusted with the main responsibility in disaster management, is not at all involved in the preparation of response nor, regarding dzud, in the preparation of winter. It has then to deal with the situation once it turned into disaster, without knowing what had been previously undertaken to mitigate it or prevent its worse consequences. There is then a break in the consistency of preparation and response. This was the loose and poorly organized crisis management system which was to deal with the forthcoming dzud. 6.3.2. From late response to disaster (November 2009 – February 2010) As said above, Mongolia was not really prepared to face a dzud, in that sense that the country didn't have, at any level, an anticipated and planned strategic response to such an event. If planned, such a response could have been triggered stage by stage, along with the worsening of the situation, and would probably have been able to significantly mitigate the consequences of such a harsh winter. Due to the lack of such a strategy, the Government of Mongolia has just followed its traditional approach, consisting in delivering as far as possible new inputs, as a reaction to the events, and without sufficient anticipation. It first tried to supply herders with pasture through enabling rotational movement everywhere, even in border stripes and strictly protected area. It ordered to deliver social services to herders in the remote areas which were blocked by heavy snow. It distributed its reserves including all livestock feed stockpiles and livestock medicines, to every herders in equal allocation but with delay. Most of these decisions were quite relevant, and nevertheless were all that the Government could undertake. However, compared to the magnitude of the events, they were obviously 'too few, too late'. That is why, lastly, it left this issue among many competing agencies without any leadership 48 Dzud National Report 2009-2010 ERST, UNDP - NEMA and coordination, while appealing international humanitarian organizations to donate for herders. In response to the dzud, government spent 7.2 billion MNT or around 5.3 million USD by its 7 resolutions, whereas international humanitarian organizations donated around 26 million USD, and national campaigns 0.6 million USD so far (see Annex 7, 8). What happened at national level is summarized by the below figure. Graph 7: Dzud Management by GoM As said above, the first response by the Government, when it was informed of possible dzud, mainly consisted in: • Urging the local governments to intensify their preparation. • Relocating reserves of hay and fodder in arid and semi-arid area from UMNUGOVI to UVS through BAYANKHONGOR, GOVI-ALTAI and KHOVD, along Gobi valley between Altai and Khangai mountains. This relocation didn’t concern other areas, but in September, nobody predicted that dzud would strike semi-steppe in Central area and that there would be heavy snow covering over 90% of the country. • Promoting otor movement, which was actually organized by aimag and soum authorities, based on the request or initiative of herders. But appropriate funding for organizing otor movement allocated from central government was redistributed to soums quite late in December, when winter weather difficulties started to be noticed. After these first decisions, reports from aimags about their preparation were collected by ministries by October 20th, and were compiled and analysed. The result of this work was submitted to the Government in early November. Several reasons explain that the Government did not look farther into the dzud issue at this time. The first one is that MoFALI reported that, according to the accounts provided by local authorities, preparation of hay and fodder had been successfully completed at local level, which was unfortunately not true. However, due to a lack of monitoring capacities, this was not timely revealed. Second, the Government already addressed the dzud issue in September and was not warned that what it decided could be insufficient. Lastly, authorities were at this time focusing on measures to tackle H1N1 epidemic which just broke out, such as vaccines and their distribution. The succession of these events perfectly illustrates how crucial has been the lack of an 49 Dzud National Report 2009-2010 ERST, UNDP - NEMA operational coordinating body to monitor and assess the situation on a permanent basis. This lack notably explains why no warnings were issued and, apart from the Government's meetings, no decisions were made. The mechanism of dzud was already running, the response by the Government was however quite weak, but no institution was able to notice this and to assess and suggest timely corrective measures. When the situation worsened, with livestock starting to starve from November, aimag governors and soum authorities began to request SEC to sell hay and fodder from State strategic reserves. They notably did so because the preparation on the ground had not been done properly. Local disaster reserves, in reality, did not exist in most of the aimags. Based on weather difficulties which were over-reported by media every day in December, on initial assessment by working group formed by MoFALI and SEC in November combined with Prime Minister’s visit to TUV and DUNDGOVI Aimag, the Government decided to sell livestock medicines as well as hay and fodder to herders, and to relocate the remaining hay and fodder reserves to those aimags on December 11, by its resolution 367. This should have been considered as an emergency alarm for local governments and any stakeholders, including the Government of Mongolia itself, because it meant that, as soon as mid December, local governments did not have any capacity to overcome the dzud, while the poorly endowed national reserves would be used in a short run. The organization of the response at national level, notably because of the above described bureaucratic processes, also proved behind the schedule. The implementation of national decisions at aimag level was very long. This can be explained by the weak preparation at both national and local level. Preparedness plans, lists of necessary equipments and vehicles for emergency mobilization, contracts with private sectors suppliers and owners, would help to save time on procurement of necessary products and delivery of relief items at aimag level. Based on the case study of UVURKHANGAI aimag resource allocation and transfer (see Annex 8), average time to transfer the funds allocated by winter preparation resolution of the Government to soum was 81 days, 36 days for alarm measures taken on December 11th, 15 days for the transfer of emergency funds decided on January 11, and 43 days for emergency procurement of food and livestock feed with funds transferred on February 10th. Financial resource deficiencies and bureaucracy at all level obviously delayed possible positive impact of those limited resources. This should be another reason to decentralize a significant part of the response capacities. Nevertheless, one more month was necessary after resolution 367 to undertake new actions. On January 11, 2010, State Emergency Commission appealed to public, domestic and international organizations. SEC had sent an assessment team with mass media representatives to 8 western Aimags on January 9, 2010. Based on its first reports and following SEC public appeal, the Government produced its third resolution on January 11, 2010, and decided to reduce prices of hay and fodder by 50%. At this time, the SEC had already consumed two third of the national hay and fodder reserves and was discussing about how to import additional hay from neighbouring countries and produce fodder in Mongolia. Ministry of Foreign Affairs was assigned to issue an appeal for help to international humanitarian organizations. He did so on January 18, 2010. The Government appeal informed international donors that the situation had not yet turned into disaster, but that it would worsen in upcoming April and May. It is highly likely that, at this stage, either the anticipation capacities or the communication strategy of the Government, or both, have failed. Indeed, the conditions of a disaster were already present, namely a probable shortage of hay and fodder during a winter which had 50 Dzud National Report 2009-2010 ERST, UNDP - NEMA been predicted very harsh and which was still to last several months. However, this disaster was not announced, either because it wasn't anticipated, or because of a failure of communication. Indeed, those two official appeals didn't provide with any details about dzud affected area and population, local needs, and other information. It just informed about what type of donation could be provided: warm clothes, heating appliances, nutrition rich food packages, first aid kits, material donation or funding for livestock feeds supply and warm shelters. The situation went out of control during the last two weeks of January, because of this overall lack of anticipation. A national campaign to help herders was organized everywhere in Mongolia and reported by mass media and daily news. It was accelerated by one of the worse blizzard which occurred between January 17th and 22nd, also hitting ULAANBAATAR. But there were still no detailed official information released to public and humanitarian organizations, except summarized information mainly sent from NEMA. At the very moment when it was faced with the end of its own resources, the GoM was not able to anticipate what it was expecting from international partners. Using its channels through State Emergency Commission and local emergency divisions, NEMA collected data requested by humanitarian organizations by telephone and faxes, because no planned process of data collection and compilation existed. No information was released from line ministries, and no systematic and planned collection of relevant data was organized. At the same time, public debates and rumours started: was it right or wrong to help herders once the livestock is privately owned by herders? Was not dzud caused by herders’ laziness or irresponsibility of local governments? Lastly, an assessment was presented by SEC to a Cabinet meeting on February 3rd, 2010. After this meeting, dzud affected soums were listed as follows: 65 soums in extreme dzud/disaster condition, 68 soums as dzud affected and 121 soums at high risk. This number did not change until March 3rd. Unfortunately, the detailed assessment done by SEC had not been officially shared with humanitarian organizations and was only partly released from NEMA upon request. February lunar New Year shadowed the public concern over dzud issues and slowed down relief measures for a while. Uncertainties on who was doing what, lack of information about dzud along with poor coordination between the Government and humanitarian organizations resulted in the official request by the Government for United Nations to take the lead of coordination of external partners. 6.3.3. From disaster to international response (February – June 2010) Bilateral donors first responded to the GoM appeal. People’s Republic of China, Russian Federation, and Turkey delivered the first international donations to ULAANBAATAR respectively on February 1st, 2nd and 25th (see Annex 9). The UN Central Emergency Response Fund also allocated over 3.5 million USD for the implementation of emergency relief projects in Mongolia on February, 23rd, but these projects had still to be designed and implemented. Among international organizations and NGOs, the uncertainties about the situation led 51 Dzud National Report 2009-2010 ERST, UNDP - NEMA several organizations to make their own assessments: • Rapid assessment by IFRC and MRCS from 18th to 26th of January, 2010 in • KHUVSGUL, ARKHANGAI and UVURKHANGAI aimags. Rapid needs assessment by FAO in ARKHANGAI and UVURKHANGAI aimags: effects of dzud on livestock sector from January 27th to February 1st, 2010 followed • by detailed technical needs assessment in February and March 2010. Rapid assessment on health sector by WHO and MoH from February 26th to March 16th 2010. • Rapid assessment in DUNDGOVI aimag by UNDP from 3rd to 15th of March. • Assessment of livelihoods support in response to dzud in Mongolia by IFRC & • MRCS, April 2010. Preliminary food assessment by ACF in UVS and BAYAN-ULGII aimags in March, with follow up assessment/survey from 16th to 29th of June 2010. • 2009/2010 dzud early recovery assessment: survey report by UNDP and NUM in • March 2010. Dzud Disaster Impact on Schools, Kindergartens, Children and Teachers in Mongolia by Save the Children in collaboration with MECS, UNICEF, VSO, Peace Corps in • March - April 2010. Survey report “Improving condition of water sanitation for Dzud affected population” by WHO and UNFPA in April-May 2010. The findings and recommendations of the first assessment missions were shared with other humanitarian organizations, and shocked the whole donor community in parallel with TV news and commentaries. This situation led UN clusters to conduct their own rapid needs assessments in their respective fields and sectors. However, UN system was not fully prepared to face such natural phenomena immediately after H1N1 outbreak, and as it was using for the first time a new cluster approach on dzud response. Apart from these assessments and surveys, many donor organizations visited dzud affected aimags and soums starting from February throughout May in order to expedite funding and to monitor projects. • Immediate cash donation either to dzud response activities organized by GoM or Donors supported dzud affected people by using three approaches: • Relief donation of food, livestock feed and medical or household supplies. directly to herders, sometimes in return for work. • Technical support and recovery projects. From March on, humanitarian assistance by development and humanitarian organizations started to arrive in Mongolia, and necessary funding were approved. At this time Mongolia had already lost 3.4 million livestock. Before UN appeal on May 12th, 2010, most of the donors depleted all their available funds for dzud relief and recovery activities (see Annex 9 for Donor activities and funding). Therefore humanitarian organizations consolidated their planned immediate and early recovery project proposals into UN appeal and were waiting funds to be raised from international donor community. 52 Dzud National Report 2009-2010 ERST, UNDP - NEMA This UN Appeal, issued as a result of the Government appeal to UN to take the lead of the coordination of international partners, was an interesting and essential attempt to give some consistency to all the projects planned for the response to dzud. However, it came rather late, and thus did not prevent the immediate dissemination of response. Part of the contribution of donors was indeed channelled through the State Emergency Commission and NEMA, to top up national efforts. But the poor coordination capacity of Mongolian authorities, as well as the few accounts they provided on the use of these funds or supplies led a lot of donors to disburse their support either directly, or through NGOs, or even local authorities. This makes quite difficult, not to say impossible, to have a complete overview of what has been the international response, what it consisted in, and where it was implemented. According to the table of donors support below, around 35,000 households (double counting) had received cash donation, some in return for their work, mainly from April to August. Average amount per households varies between 27,000 MNT to 300,000 MNT. Food and livestock feed donations by international donors were distributed to 11,763 households in 195 soums (double counting) in 16 aimags. Food packages composed of flour, rice, sugar, salt, tea bricks and vegetable oils varied in weight from 35 to 96 kg. Livestock feed was between 1 sack of fodder or one bale of hay (17 kg), to 890 kg of concentrated feed: it is likely that the provision of too small amounts of feed has been ineffective, because it didn't provide a sustainable feeding capacity, despite of high transportation expenses. In the same time, bilateral and national humanitarian assistance arranged by SEC was delivered to all aimags and soums, based on equal distribution. Selection criteria of beneficiary households by donor organizations were most of the time different, but it seems that they properly targeted those herders who used to have below 200 animals before dzud, and were more prone to be sharply impoverished by its effects. Even if donors always concentrated their efforts on the territories which had been declared in disaster situation by SEC decision, they also focused on their previous or on-going projects or programs and their already known beneficiaries. A total of 12 separate convoys were dispatched to dzud affected aimags and soums by SEC and donors between February and June 2010. Medical tools and equipment including kits were provided to every dzud affected aimags and soums in early May 2010, which builds capacity of local hospitals for next disaster (refer to table 4). 53 Dzud National Report 2009-2010 ERST, UNDP - NEMA Table 4: Donations to Aimags Aimags  No of beneficiary groups and  Donation/cash per one household/individual or  Donor/ Humanitarian  Timing individuals  soum/aimag (not included other costs)  organization  Cash donation  Khovd, Uvs, Zavkhan, Khuvsgul,  N/A, 31 school in 9 aimags Cash for Repair of heating system and boilers worth MNT  UNICEF, Save the Children  February 2010 Govi‐Altai, Bulgan, Selenge,  124.7 million.  Japan, Deseret Industries by  Dornod, Orkhon  LDSC through MECS  Khovd  145 unemployed and herders who lost  Cash for removal of carcasses: 78,000 MNT each  Mercy Corp Removal and payment:  their all livestock in 8 soums  April 5‐ May 1  Khovd, Uvurkhangai, Dundgovi  18,605 selected individuals: Cash for Removal of carcasses: 100,000 MNT each  UNDP with CERF and UNDP  Removal:  5,079 in 15 soums of Dundgovi;  beneficiaries  funding  April 15‐ May 15  3,640 in 17 soums of Khovd aimag;  Payment:   9,886 in 19 soums of Uvurkhangai  May 15‐20  according to criteria.  Zavkhan  7,727 herder households in 17 soums  Cash transfer: average 27,000 MNT each. Swiss Agency for  Distribution:    out of 24.  Cash for removal of carcasses: 5.2 million MNT in 8 soums  Development and  April 22 – June 1    Cooperation (SDC)  13 disaster/dzud affected aimags  8,576 households, lost all livestock Cash: each 300,000 MNT each; ADB with funding from  Distribution: May‐August   Aimags: 20 vans  APDRF  NEMA: 10 vans equipped with communication equipment; 6  hygiene vehicles  19 Aimags  N/A, 223 soums of 19 aimags Grant for livestock feed/medicine purchase: each MNT 5  World Bank through SLP II Distribution: May 2010  million with exception of 24 with MNT 1‐3 million.  Arkhangai, Govi‐Altai, Khuvsgul,  1,100 households according to criteria  Cash for livelihoods support: 235,000 MNT or 240 USD each MRCS Distribution: Sep 1 – Oct 1, 2010 Uvurkhangai, Zavkhan  excluding ADB cash beneficiaries  Relief donation of food, livestock feed and household supply 12 Dzud disaster affected Aimags  N/A, 216 soums of 12 aimags Food donation:  National Humanitarian  Distribution: Convoy dispatched on  Every aimag received MNT 15.5 million  worth food, felt  Campaign via SEC and  February 1, 2010  boots, and candle  NEMA  Every 21 aimags and Ulaanbaatar  N/A, all soums  Food and livestock feed: MNT 121‐135 million worth support  China, Russia, Turkey Received: Feb 1, Feb 2, Feb 25  to 18 aimags each. MNT 15‐58 million worth support to 4  through SEC and NEMA  Distribution: to aimags on March 11,  aimags each  2010  Dundgovi  4 soums Erdenedalai, Gruvansaikhan,  Food and livestock feed worth MNT 91.2 million   CAMDA, WSPA, ESA Distribution: 15‐31 March Adaatsag, Delgertsogt  12 Dzud affected Aimags  N/A, 216 soums of 12 aimags Food and livestock feed: Each soum received 1.5‐4 tons of  Japan via SEC and NEMA Distribution:  flour and 3.7‐10 tons of fodder  Convoy from UB to Aimags on April 10,  2010  10 Dzud affected aimags  N/A  Food and livestock feed: 45 tons of fodder and 10 tons of  Japan (Grassroots program)  Distribution: flour for each aimag  via SEC and MoFALI  April 2010  Zavkhan, Arkhangai,   2,614 selected herder households in 3  Food and Livestock feed: A package of veterinary medicines,  FAO with funding from FAO,  Distribution:  st Govi‐Altai, Bayankhongor,  soums in each 7 aimags according to  22 sacks or 880 kg of animal feed and 5 kg of milk powder for  CERF, Government of  1  convoy on March 29;  nd Uvurkhangai, Dundgovi, Umnugovi  criteria  each household  Austria  2  convoy on April 7, 2010;  54 Dzud National Report 2009-2010 ERST, UNDP - NEMA Aimags  No of beneficiary groups and  Donation/cash per one household/individual or  Donor/ Humanitarian  Timing individuals  soum/aimag (not included other costs)  organization  Completed by April 15, 2010 Bayan‐Ulgii  505 households in Bulgan soum Food donation: 51,500 MNT worth food each SDC Distribution:  13 people in Bulgan soum CfW  Cash for removal of carcasses: 10,000 MNT each  April 20‐May 20  Uvs, Bayan‐ulgii  ???  Livestock feed: ??? ACF March‐June? Khovd, Uvs, Bayankhongor, Tuv,  1,800 herder‐households or 7,200  Food and clothes: 96 kg of flour, rice, sugar and salt; coat and  MRCS and South Korea Distribution: Dundgovi, Umnugovi, Khentii,  people in 89 soums according to  boots for adult and children each.  Convoys on 12 June and 21 June;  Sukhbaatar  selection criteria  Medical support: 1200 standard first‐aid kits   Distribution completed by 15 July.  1) Zavkhan,  1) 450 households of 7 soums Food and vitamins: ADRA Distribution: 2) Arkhangai,   2) 600 households of 5 soums  ‐32.5 kg flour, rice, sugar, and salt; 2 liter oil each in Zv  - 18‐25 February  3) Bayankhongor   3) 415 households of 5 soums  ‐ 77 kg flour, sugar, and salt; 3 liter oil and 1 block tea each;  - 30 April‐4 May  vitamins and fuel for 1335 beneficiaries in AKh  - 11‐15 May  ‐ 77 kg flour, sugar, and salt; 3 liter oil and 1 block tea each;  vitamins and fuel for 1335 beneficiaries in BKh  Bayan‐Ulgii, Khovd,   5,366 households (or 24,342  Livestock feed: 150‐200 kg fodder each for 5,366;  World Vision and Germany Distribution of Food and livestock feed: Govi‐Altai, Zavkhan, Arkhangai,  individuals) in 68 soums of 13 aimags  Food:  63 kg flour, rice, sugar, salt and 6 liter of oil each for  February –June 2010  Bayankhongor, Dundgovi, Tuv,  5,012;  Health assistance by April to July 2010  Bulgan, Uvurkhangai, Khuvsgul,  Medical support: First aid kits, 2 pairs of shoes and 2 jackets  Selenge, Khentii  each to 2027 households and fuel for 2812 households.  Medicine and medical support  Khuvsgul, Uvs, Zavkhan, Govi‐Altai,  3229 school children living in 22  Warm clothes and hygiene kits worth 137,000$  UNICEF in collaboration  Distribution: Khovd, Bayan‐ulgii  dormitories in 6 aimags  with MECS  airlift on March 2, 2010  12 Dzud disaster affected aimags  N/A, 130 soums of 12 aimags Aimag hospitals:   UNFPA, UNICEF in  Distribution: May 3 – July 2010 1,299,600 MNT Midwifery kits each; Infant equipments   collaboration with MoH  (MNT 1.7‐3.2 million)   130 soums: 854,782 MNT Clinical delivery kits each, and  medicines and hand tools.  12 Dzud disaster affected aimags  N/A, 12 Aimags  Medicine: Vitamin and mineral supplement to infants and  Samaritan’s Purse through  Distribution: May 3 – July 2010  breast feeding mothers worth MNT 1.87 million each aimag  MoH            55 Dzud National Report 2009-2010 ERST, UNDP - NEMA The timing of relief assistance was sometimes said late, and its effectiveness was discussed by ordinary herders who recalled that if they had received those fodder supports earlier in January or before Lunar new year, hundreds of livestock could have survived. Such opinions were expressed widely during ERST assessment mission in July 2010. These claims should however be put into perspective. In disaster situations, relief always is felt late even if almost immediate, because of the feeling of emergency, which oppresses the victims. The response of the international community to the dzud emergency could perhaps have been faster. Particularly, its consolidation into the UN Flash Appeal, issued in May, is obviously rather late and, fortunately, international response started before. Nevertheless, this should not hide the fact that a better anticipation by the government of Mongolia and a better preparation by herders themselves would have made international response in the same time easier and less essential. In fact, the lack of proper and timely information of humanitarian community as well as the weakness of coordination by GoM also has been strong obstacles to a better common response to the dzud disaster. Other views about effectiveness of humanitarian assistance were echoed, about the selection of donation packages or the right type of supports and donations. The most needed assistance among herders was hay and fodder or any kind of products that can be used as livestock feed. This expectation proved right, as exemplify the results of FAO response, which had a rapid and positive impact on livestock losses, as soon as implemented. So the provision of livestock feed should be prioritized in response to dzud slow-onset disaster as stated in LEGS. The equal distribution of the donations by the government to every herder was not a perfect solution. There were five key issues that should have been taken into account for these distributions. First, instead of scattering limited resources universally, the targeting of beneficiaries could have improved the global effectiveness of aid. Second, the cost-recovery approach on distributing hay and fodder by SEC should be kept further, but with flexibility on conditions of payment and time, with the same targeting approach. Third, the amount of hay and fodder, reserved in state strategic reserves (for 3 days supply nationwide) was not enough considering increased frequency of dzud and climate change. Fourth, reserved hay and fodder should be renewed by selling during normal years in order to improve quality. Fifth, criteria for distribution and survey of target groups should be conducted and updated in every two years together with preparedness plan. Of course, such recommendations are quite difficult to follow in the short run of disaster onset. That is why they should be included in the necessary planning of such situations, both at national and local level. Ownership of dzud response was shifted from Government to humanitarian organizations from April. At the same time, stakeholders who had actively participated in this response started to get tired of dzud matters, notably because of other emerging issues at Government level and unsuccessful results of many efforts taken to reduce losses, such as distribution of all reserved hay and fodder. Moreover, the coordination of humanitarian assistance by GoM proved during this phase as poor as it had been during the previous one. As a result, humanitarian community wasn’t assigned specific targets, and humanitarian assistance was too often provided to former beneficiaries or target groups who were previously chosen by donor organizations, instead of supporting the most affected populations and areas. It was noted that different people in different national agencies without any coordination or discussion had indicated target groups or area to humanitarian organizations. 56 Dzud National Report 2009-2010 ERST, UNDP - NEMA Instead of being a fully coordinated response, addressing the most urgent issues and the most affected populations, the management of dzud crisis has been too often a kind of bilateral bargaining between Mongolian line ministries or agencies and international donors. It was also noted, during field assessments, that some households got assistance from several organizations, while neighbouring families didn’t receive anything. Such a weak disaster management capacity and coordination may be partly explained by a lack of human resource in Mongolian ministries and agencies. Personnel who were temporarily appointed to cover dzud issues had worked mainly on their full time jobs, and participated formally in assessments and other events during last winter. Such situations cut information flow and knowledge sharing, and they made confusion among stakeholders. At the same time, the institutional memory had not been preserved, and it thus required time to learn and understand work process and procedure. In order to avoid such mistakes, it would be essential to develop guideline on emergency working procedures and organizational contingency plans and, as far as possible, specific staff dedicated to disaster preparation and management. Even if poorly coordinated, the different responses brought by international community have been effective, each one in its scope of concern. That's why it might be interesting to look into a sample of them, which addressed different issues with different approaches. 6.3.4. An example of cash support approach: the SDC project The Swiss Agency for Development and Cooperation has a long experience of collaboration with the Mongolian Government on restocking the herders who have lost their livestock during dzud since 2001, through its “In-Cash support programme” targeted at poverty reduction and disaster mitigation. Based on the lessons learnt from cash transfer experiences in GOVI-ALTAI, ZAVKHAN and DUNDGOVI aimags from 2002 to 2005, SDC has changed its policy and programmes, and tends to tackle root causes of dzud. It does so through programmes and projects dedicated for instance to pasture management or improvement of pasture regulation, to the scaling up of livestock insurance, the creation of legal framework for herders or unemployed people to work in craft mining with environmental-friendly management and technologies, and lastly to the creation of alternative livelihood opportunities for rural poor with vegetable planting and farmer- based businesses. In response to the 2009 - 2010 dzud, SDC mobilized CHF 500,000 for affected herders in ZAVKHAN aimag, and one soum in BAYAN-ULGII and ARKHANGAI aimags. This money was both, and in equal parts, an immediate relief response by providing cash to buy food or any other basic item, and the funding of preventive measures to avoid the effects of future dzuds. This project was based on a participative approach involving the herder communities through the “Pasture Users Groups” (PUGs). PUGs were established in 2009 by the Mongolian Pasture Management Association (MPMA) at bagh level, and consist of herders households neighbouring at winter camps. Around 4 to 8 PUGs in each soum are coordinated by a soum pasture user’s association, in which representatives of herder households and of soum governor’s office take part as board members. For example, all herder households are members of PUGs in TSAGAANCHULUUT soum of ZAVKHAN aimag. PUG leaders were first trained for the implementation of the project and, from March 2010 on, PUGs had to decide the criteria to choose the beneficiaries of cash support, and an action plan for further preventive measures. These decisions had to be approved by local government, and their implementation was to be monitored by a local committee, including representatives of the citizen as well as of the local authorities. 57 Dzud National Report 2009-2010 ERST, UNDP - NEMA A total of 7,727 herder households received an average of 27,000 MNT, which amount had been decided by PUGs in every bagh of soum. The selection criteria were suggested by SDC through its relief project implementation manual. However, most of the PUGs decided to distribute cash equally to every herder, in order to avoid delay and complains. Beneficiaries received cash support mainly between April 22nd and mid May. The same amount of cash was given to PUGs to use for recovery and preparation activities for the next winter. According to its basic principles, this project was aimed at being: • Transparent: all decisions about the selection of beneficiaries and the collective action plans were made at the community level by PUG members. Their meetings were held from 22nd to 24th of April, and were active to plan small scale projects on pasture improvement. • Guided: Proper training and instruction for NGOs and soum officials were conducted from April 7th to 10th. Cash allocation was delivered to every soum on April 10th. Soum and aimag authorities coordinated their removal of carcasses with PUG activities. • Fast: Cash started to be distributed to herder households in the week following the PUG meetings. There were no additional approval stages or bureaucratic processes at local level in the implementation cycle. • Cash but also preparedness: Not only cash distribution but also winter preparedness activities were planned by PUG members. This linkage between immediate relief and longer term disaster mitigation measures seems very interesting as an educational approach to disaster issues. • One common need: For disaster preparedness activities, most of the PUGs tried to prioritize only one activity (such as making pond using spring snow and rain water or planting of perennials), in order to achieve a specific result while avoiding inefficient numerous activities. • Monitored: Working groups composed of NGO, PUG heads, and soum authorities had organized distribution of cash and other disaster preparatory activities. Every counterparts and herders monitored cash transfer activities through their PUG meeting. • Using existing structure: The implementation structure was inclusive, open and community based. It relied on local administrative unit "bagh" and herders' neighborhood at the winter camps. As a follow-up of this project, the beneficiaries confirmed their request of technical assistance for the improvement of their collective capacities, such as the establishment of local or community hay and fodder reserves, or tools and training on preparation of fodder at local level. They were also supportive of other SDC funded activities such as pasture law and mining law, demonstrating that the immediate provision of relief just after a disaster can turn into a support to long term policies and measures aimed at avoiding its repetition. The positive effects of this linkage between emergency relief and long term prevention and mitigation goals is, thus, probably the main lesson to be learnt from this project, and it is advisable to make it a basic principle of any further immediate relief programme. 58 Dzud National Report 2009-2010 ERST, UNDP - NEMA 6.3.5. The Cash-for-Work approach through UNDP project The rapid assessment made in March, 2010, by Early Recovery cluster led by UNDP proved that a worrying lack of cash was hitting the most vulnerable herders, notably those having less than 200 heads. On the other hand, it was observed during last dzuds that carcasses were usually left over at the herders’ winter camp when herders move to spring and summer locations; and that they decayed because of warm temperature and then became main causes of spreading diseases for human and livestock, as well as of major pollution of water points. That's why UNDP prioritized this issue, together with the other top priority of immediate needs of cash for herders’ food security. As the most affected aimags in February 2010, UVURKHANGAI, KHOVD and DUNDGOVI aimags were targeted for the implementation of unprecedented in Mongolia Cash for Work programme. With a funding from the CERF, UNDP started to prepare its project from mid March, and this preparation was completed on April 15th 2010. Beneficiaries were selected according to a set of criteria including dzud losses, vulnerability to poverty, gender equality, etc. The application of these criteria led to involve in this project: • 10,354 families whose herd was between 50 and 250 heads, identified as the most vulnerable, • 2,529 female herders, • 767 female headed families • 836 people with limited labour capacities. The project thus concerned 18,605 herders from 225 baghs of 21 soums in the three selected aimags. The total herders of the three provinces are 67,300, out of a total population of 253,100 people. 27.7% of the total herders of these three provinces, the most vulnerable of them, have then been involved in the project as direct beneficiaries. The 48,700 remaining herders also benefited indirectly from the result of the project as it reduced the risk of widespread infectious diseases. The beneficiaries were organized in more than 1,000 groups, and each of them earned an average amount of 100,000 MNT, which was a significant emergency relief in their situation of cash shortage. 1,800 million MNT were spent to pay their fees, whereas more than 146 million MNT were disbursed for the purchase of the necessary supplies, such as hygiene materials, transportation, fuel, and necessary hand tools. From April 15th, 2010 to May 15th, the beneficiaries of the project then cleared an area of 128,000 km2 by removing over 2.7 million carcasses. Beyond the communities of organized herders, the project also involved local authorities, namely soum and bagh governors, the local branches of NEMA and the local departments of Agriculture. All these stakeholders were involved in the monitoring of the project, ensuring transparency and local ownership. The KHAN BANK also partnered by locally managing the disbursement of wages to the herders. The implementation of this project was backed by a strong communication activity, at both national and international level. At national level, this communication succeeded in illustrating that a rapid, multi purposes, consistent and effective response to dzud effects was possible. As a result, the government of Mongolia organized its own carcasses removal policy to top up the insufficient means of UNDP. It decided to allocate 466.6 million MNT for carcasses removal in the remaining provinces. At international level, it raised the awareness of what was happening in Mongolia, and of the corresponding need of humanitarian support. As a result, significant donations to Mongolian herders were for instance made in the United States. 59 Dzud National Report 2009-2010 ERST, UNDP - NEMA In addition to humanitarian support to the most affected herders and to its positive effects in terms of hygiene and public health, the project also resulted in a strong demonstration. It illustrated that it was possible to manage a large scale project in an emergency context by relying on both local administrations and herders communities. This lesson is not only important in terms of public policy implementation but, in the aftermath of dzud, it was also a significant psychological support to affected herders who were enabled to take actions and then to reverse the trend of negative suffered events. 6.3.6. Lessons learnt from these experiences Both these projects can be considered as successful, and that's why it's interesting to look into their common features, which probably explain the significant achievements they reached. First, they have been very inclusive, involving as much local stakeholders as possible. Notably, the involvement of local governments was useful to ensure the legitimacy of the implemented processes, but also to make easier and smoother the common work on the ground. It proved that local administrative capacities exist, which are able to implement projects of significant importance: such an asset is quite valuable to deal with long term challenges related to dzud issue. They also are an effective basis for the implementation of a desirable decentralization policy. The organization and involvement of local communities, through the Pasture Users Groups, or the groups of herders organized for the removal of carcasses, also proved relevant approaches: they didn't only facilitate the immediate implementation of the projects, but they also build up the basis for further developments. Indeed, and second, they successfully addressed the short term issue of food security by providing cash to destitute herders, but they also tried to prepare longer term actions: SDC by funding collective mitigation measures, UNDP by providing tools and equipments usable beyond the project. Nevertheless, this latter project could probably have gone farther in this direction, for instance by trying to build up follow-up actions based on the organized herders groups. It is likely that, in such an emergency situation, both funds and time lacked for this extension, but one of the lessons learnt is that it should be considered by possible future projects. Other positive features of these projects could also be considered, such as the inclusive monitoring processes which ensured transparency and accountability of their implementation, or the preliminary training of the most important stakeholders. Monitoring and transparency ensured a wide and encouraging support to these initiatives, whereas training of stakeholders fostered a smooth and timely management of their processes. 6.3.7. Addressing the livestock issue: the FAO project Among the many interesting and relevant other projects which have been implemented as responses to dzud consequences, the one led by FAO and the MoFALI seemed worth being also presented in this report, because of the demonstration it provides that the main part of the dzud problem is related to livestock feed, and could then be solved with sufficient and timely supplies of it. With its own funds (USD 477,000), the ones of the CERF (USD 600,000), and thanks to an additional support provided by the Austrian government (USD 198,200), the FAO implemented a project aimed at supporting the emergency response. This project targeted the most vulnerable herders, but also took into account their abilities as herders, as well as their potential for recovery and sustainable activity. It mainly consisted in providing 2,614 herders households in 7 aimags with concentrate feed, milk powder and veterinary items. Each household notably received 880 kg of concentrate animal feed. The relatively small 60 Dzud National Report 2009-2010 ERST, UNDP - NEMA number of beneficiaries results from the choice to provide each of them with a meaningful support in order to sustain a sufficient nucleus of animals, rather than providing too small quantities which wouldn't have been effective. Despite of the difficulties faced for local provision and transportation of these items, they were successfully distributed between March 30th and April 15th. A local NGO, the Rural Investment Support Centre (RISC), was the implementing partner of this project, and assessed its impact on the survival of livestock. The result of this assessment is shown in table 5. Table 5: Surviving Rate of Animals Surviving rate of animals Animal Animals per Animals per Animals per Inputs date vs. Assessment household, household households at January 1st date vs. inputs January 1st when receiving time of impact 2010 date. 2010 inputs. assessment Camel 2,2 1,9 1,9 86,4 % 100.00% Horse 9,4 4,9 4,5 47,9 % 91,8 % Cattle 6,1 3 2,6 42,6 % 86,6 % Sheep 91,3 40,3 36,2 39,6 % 89,8 % Goats 113,2 53 47,3 41,8 % 89,2 % Total 222,3 103,2 92,4 41,6 % 89,6 % Source: Final Report on Monitoring and Evaluation of FAO's intervention to support the Dzud-affected Herder Families in Mongolia. RISC. This table shows that the provision of adequate feed had a very significant and positive impact on livestock losses: during the three months before the delivery of this feed, herders included in the sample lost almost 59 % of their animals. But, between the date of this delivery and the one of the project's assessment in June, they lost only additional 10.4 %. This perfectly demonstrates that a proper and sufficient preparation of feed before winter would solve the problem of dzud, as far as it concerns the survival of livestock, i.e. the preservation of herder's livelihoods. The project’s assessment also underlined a specific difficulty faced during its implementation, which was the one of procurement. Due to an unprepared situation and to a lack of mutual knowledge of suppliers and purchasers, the procurement process was long and difficult. This once again underlines how a planned preparation for such situations would be essential. 6.4. Communication39 and information management40 Most of the misunderstandings between the government of Mongolia and international donors, the overall weakness of coordination of all stakeholders as well as most of the lacks of accuracy or timeliness of response were due, as several times underlined, to weaknesses or failures of information management and / or communication. That is why it is useful to farther assess these activities. 39 Communication: is the activity by which the Government and official institutions under its control give information to the population regarding the overall situation, the decisions made to face the crisis, and the proper behaviors to be adopted by citizens in order to make crisis management easier. 40 Information management: is the activity by which the Government, official institutions under its control, international donors and any other stakeholders collect, analyze and share data related to the crisis situation in order to make decisions to manage it. 61 Dzud National Report 2009-2010 ERST, UNDP - NEMA Emergency response and early recovery require access to reliable, accurate and timely information. Well-managed information that is collected, processed and disseminated among humanitarian and recovery actors is the foundation on which successful emergency programming is based.41 And, indeed, most of the difficulties faced during last dzud response were also due to an improper communication and / or a lack of information management capacities. Therefore, it is interesting to review the processes which were implemented. 6.4.1. Information management During dzud period, the challenges of information management were the ones which are faced in any crisis situation: timeliness of collection, accuracy and control capacity, processing ability. However, they were relatively easy to take up, since dzud is a very slow onset disaster, which gives time to properly collect, check and analyse the data. On the other hand, it requires a good capacity to interpret them in order to be able to anticipate from when on a difficult situation becomes likely to turn into disaster, and to prepare response. In other terms, crisis managers have more time than in other emergency situations to get and check their data, but they have to carefully analyse and interpret them to properly assess the situation they face. Automatic, smooth and seamless data collection processes are all the more important that human resources for crisis management are scarce, in order to save time and labour force for this interpretation. Major coordination during the 2010 Dzud was done by the State Emergency Commission of Mongolia, which is lead by the Deputy Prime Minister. The Chief of NEMA serves as a deputy chief of the SEC. During the emergency situations the SEC is expected to perform the following tasks: • Manage the collection of information and the delivery of dzud data to the government as well as to media, and general population. The news and communication team of the government cabinet collected daily reports from the city and aimags, and compiled data went in written to the Head of the SEC, and to the National Security Council. Also, members of the current government received the data via electronic mail. Unfortunately, it doesn’t seem that these data have been shared with other stakeholders, and this obliged them • to organize other competing collection processes. Coordinate an assessment of dzud situation based on data from the Ministries, governmental • agencies, and aimag and soum administrations. • Inform public about government response to the dzud and deliver disaster warnings. • Develop proposals on additional budget and equipments along with MoF and MoJHA Manage disaster response and rescue operations and mobilize resources from governmental and other organizations42 Between December 2009 and June 2010, a total of 13 meetings were held by the State Emergency Commission. The commission approved or submitted to the government different decrees and resolutions to overcome rising difficulties due to the dzud43. These were based on information collected, notably during assessment missions. On January 9th 2010, the SEC devised a guideline on field trip, with a goal of evaluating disaster situation in 8 aimags, which had the most severe winter. 41 UN OCHA (2008). Cluster Working Group on Early Recovery: Information Management Strategy. New York 42 GoM (2008). The State Emergency Commission guideline, Ulaanbaatar, Mongolia 43 Interview with Mr. Enkh-Amar, secretary of the SEC 62 Dzud National Report 2009-2010 ERST, UNDP - NEMA The field trip group composed of 12 members, (including 5 media personnel, 2 from the Mongolian National Television, 2 from the Ulaanbaatar Broadcasting Systems, and 1 from the Mongolian National Radio). The team collected dzud related data and information by meeting with aimag and soum emergency commissions and their professional units, governors, local officials and communities as well as by on-site visit to herder households living in severely affected areas. Data concerning crops growth in the 2009 summer, pasture capacity, weather condition, level of snow, and number of otor herds were collected. The field evaluation categorized disaster in the 8 aimags into four levels, including disaster condition, dzud condition, pre-dzud and normal winter condition. As a result a proposal on necessary actions to respond to the dzud was submitted to the SEC. The proposal included amendments on local disaster preparedness plan in order to reflect current dzud situation44. This way of collecting data during emergency situations is questionable. Certainly, it has some advantages, notably the fact that data are collected by skilled professionals, or that the collection method is similar from one place to another. However, the fact of sending people from the capital to the spot in order to prepare decisions to respond to emergencies necessarily delays these decisions, and does not necessarily makes them more relevant. Basic data should be provided by local level authorities on a regular basis, using well-known and shared frameworks and guidelines, and seamlessly processed by crisis managers in order to timely prepare their decisions or the government’s decisions. As being government’s implementing agency on disaster issues, the National Emergency Management Agency was one of the core stakeholder in terms of dzud aid distribution and aid donor relations. It should also have been the hub of information management, but was not really successful in this task. Since September 2009, NEMA’s Foreign Relations department prepared winter preparation news, which was followed by dzud bi-weekly (later weekly) updates from September 2009 to May 2010. The dzud updates consisted of the following data (see annex 6): • • How many herder households affected by dzud, • How many herder households lost their entire livestock, • Monetary value of the losses, • Which aimags and soums affected, • Health status of herders in dzud affected areas, • How much was spent on dzud aid, and New aid details. On January 18th, 2001, the donor meeting proposed by GoM was organized by NEMA with support of the Ministry of Foreign Relations. Donors’ expectation was to have more human related information such as number of dzud affected population, children and pregnant women living in remote areas, where roads were blocked by snow, or level of food shortage, poor herder households, disabled persons, or number of herders who received medical service due to dzud. However, NEMA bi-weekly and weekly updates were mainly covering livestock losses and the agency had no regular information flow on human related data. 44 SEC (2010). The State Emergency Commission Working Group report. Ulaanbaatar, Mongolia 63 Dzud National Report 2009-2010 ERST, UNDP - NEMA This kind of data was collected by the Ministry of Health in conjunction with the Health, Nutrition, and WASH Clusters of the Inter-Agency Standing Committee. They conducted an initial rapid assessment in 133 soums of 12 dzud affected aimags. It intended to judge humanitarian situation and the severity of needs, including population (number of children, pregnant women, elderly, and other risk groups), health status and health risks, and health facilities and services45. This resulted at the national level in a duplication of efforts: NEMA also tried to collect the same data through its local branches, who in turn requested the following data from dzud affected aimag and soum authorities (see annex 5)46: ¬ number of children living in dzud affected 12 aimags ¬ ¬ number of pregnant women number of elderly people ¬ ¬ number of people with chronic illness number of dzud affected herder households ¬ number of otor herders, who needed medical services ¬ type of needed medical services ¬ number of medical team visit to otor herders ¬ monetary value of medical aid by per aimag ¬ ¬ monetary value of distributed food supplements by per aimag, and monetary value of distributed heat supplies by per aimag In addition, the Department of Health (DOH) also collected regular statistics on morbidity rate, infant death, health services, including prenatal assistance to pregnant women in all 21 aimags47. It seems that a lot of time has been wasted to collect information from local level, giving evidence that there were no beforehand designed data collection system. In this situation, when crisis managers are obsessed by data collection through a loose information management system, they are likely to forget that these data have to be interpreted and understood. Data collection becomes a goal in itself, which does not make easier the design of proper responses. This situation may have been partly caused by the donors’ expectations, which have put a strong pressure on a weak data collection system. This was due to the poor results of this system: in a vicious circle, the less data this system was able to provide, the more pressure the donors put on it in order to get answers to their questions. Furthermore, donors themselves are often obsessed by the collection of specific data, matching their concerns and policy, and they easily forget that their national counterparts do not necessarily need the same data, nor always have time to answer sometimes very particular questions. A clear, well-known and beforehand designed system of data sharing should be established in order to avoid such a situation. All this may explain why both donors and national counterparts felt that there were many gaps between donors’ expectation and available information48. In addition, translation from Mongolian into English and conversely is often a challenge, due to the weak capacities of both NEMA and international organizations, and the negative impact of this apparently insignificant detail shouldn't be underestimated. Another difficult task was the coordination of information: only 50% of donor aid was delivered through NEMA, and the rest of aid was delivered by international and national NGOs directly to aimags. Thus, and because of the lack of a proper and overall coordination system (see below), it has been difficult to map donor support in order to avoid overlapping of the aid49. 45 Bayarmaa, Ch. (2010). Ministry of Health response to the Dzud and future actions, Ulaanbaatar, Mongolia 46 NEMA (2010). Report on dzud affected populations, Ulaanbaatar, Mongolia 47 Interview with Ms.Nyamkhorol, Department of Health, Ulaanbaatar, Mongolia 48 Interview with NEMA officials from Foreign Relations Department, Ulaanbaatar, Mongolia 49 Interview with Head of the Strategic Reserve and Recovery Department of NEMA, Ulaanbaatar, Mongolia 64 Dzud National Report 2009-2010 ERST, UNDP - NEMA Thus, there are at central level many data collection processes which coexist and probably overlap but, paradoxically, this system is unable to provide timely and relevant data. The impact of this difficult management of information shouldn't be underestimated: it leads to a vicious circle in which the less the government is able to coordinate information, the more other stakeholders tend to act on their own, and the more the coordination of both information and action becomes difficult. At local levels, the dzud data collection was challenged by far distances and remote location of herders, shortage of fuel, lack of personnel, and insufficient administration budget such as for stationery. However, the 2010 dzud data updates were conducted as part of livestock counts, medical visits to herders, and visits to otor herders by bag governors, veterinary, medical doctors, and representatives from aimag & soum governor offices50. From the group discussions, local data collection and information dissemination during disaster is described by chart 3 shown below. Chart 3: Local data collection and information dissemination during disaster Aimag  93028570 local  Meteorological  National Meteorological  emergency phone  Agency  Agency of Mongolia  based at  Meteorological agency  Agency Branch Meteorological Local NEMA Aimag governor Soum Radio TV  Soum post office and Herder communication Early Warning department Radio, FM Messages Soum governor Herders Bag governor The consequences of a weak information management system, and particularly of its poor coordination capacity, lasted after the end of dzud itself. The donor's actions for early recovery remained (and still remain) uncoordinated, as had been their response initiatives. This lack of an overview of all the projects undertaken in order to overcome the dzud consequences prevents from drawing up strong joint strategies, which would be much more effective than the juxtaposition of isolated actions. Moreover, it can lead to discrepancies between policies towards key issues, such 50 UNDP Early Recovery Support Team (2010). Report for Assessment and Monitoring Trip to Zavkhan and Uvurkhangai aimags of Mongolia. 65 Dzud National Report 2009-2010 ERST, UNDP - NEMA for instance as restocking. 6.4.2. Communication Communication related to disaster preparation, management and response is a major issue, even if often neglected. It should indeed be considered as being part of the operational activities aimed at preventing, mitigating and responding to disasters. By encouraging the citizens to improve their preparation level, communication can make easier the organization of response. By informing them on the reality of what happens in case of a disaster, it can urge them to adopt the proper behaviours and support their confidence in the actions undertaken to overcome its consequences. Conversely, a bad or improper communication can quickly destroy this trust, make the citizens cautious or suspicious about the recommendations or orders issued by public authorities, and then deeply complicate the management of a disaster. The NEMA does not have a communication strategy yet. However, a draft national crisis communication strategy is under discussion, which identified role and responsibility of the NEMA during onset of Avian Influenza. The Media and Public Relations department works to improve public knowledge on disaster preparedness, and to introduce NEMA activities, government policies on disaster management, particularly prevention measures to the public. The department has two staff at the central NEMA level, which is quite poor for the tasks it has to perform. It links to all local NEMA branches through their training specialists. Also, this department works closely with national media. For instance, a workshop was organized with over 40 journalists on disaster risk communication. The Infonet, TV9 local network, is used to collect local information and to disseminate emergency news in 21 aimags51. Different communication channels are used to deliver NEMA and disaster related information to partners, donors, and public (refer to table 6 below for more detail). 51 NEMA (2010). Semi-annual report of Media and Public Relations Department, Ulaanbaatar, Mongolia. 66 Dzud National Report 2009-2010 ERST, UNDP - NEMA Table 6: NEMA's communication channels No Communication channel Target audience 1 NEMA website (http://www.nema.mn) that is updated General population daily by the Media and PR department NEMA staff 2 Information board and photo bulletin at NEMA NEMA staff Agency visitors 3 News and disaster related information prepared for General population other websites such as olloo.mn, gogo.mn 4 Mongolian national broadcasting that includes General population television and radio. This is the only state funded media. It provides free of charge coverage for NEMA, Rural population including TV ads on preparedness during earthquake, snow and dust storms, forest fire, dzud, and human or livestock contagious diseases. 5 TV9, a private television also provides free of charge General population interviews on disaster issue 6 Paid TV ads, most recent one was on the prevention of General population avian influenza 7 Daily newspapers cover disaster issues by interviews General population or by special articles 8 A live TV program that has an open discussion with major stakeholders in disaster field 9 Printed communication materials on disaster General population, but prevention, including leaflet and brochure in rural areas, materials are distributed to soum or aimag governor offices and AEMD Effectiveness of these communication tools were not appraised by formal evaluations, except the 2010 pre-survey on UNICEF funded flood prevention TV clip. The pre-survey was conducted in BAGAKHANGAI district of ULAANBAATAR and had 16 participants, who provided their 67 Dzud National Report 2009-2010 ERST, UNDP - NEMA comments on the clip content52. The organizational website of NEMA (http://www.nema.mn) has 12 sections, including NEMA introduction, Disaster management related current law and regulations, News, Links to government institutions and international disaster management organizations, Contact us, the Disaster Research Institute page, Words from elderly, Disaster cases by numbers, Q&A, Resources, Advice, NEMA phone directory, and Photo gallery. The website is in Mongolian language only, which is a serious drawback in terms of links with donors and the international community. However, NEMA does not have sufficient human resources to manage a seamless translation of its website. Target audiences are general population and central and local NEMA staff. The website server is maintained by the Information Technology unit, which also ensures quality connections of external & internal networks of NEMA. The NEMA website is updated regularly by the Media and Public Relations department, but mostly the news section. This web news is prepared based on the daily emergency report from the operational group – 10553. The disaster cases are intended to be reported at the NEMA website on a monthly basis, however last update was made almost six months ago and currently available data are not user-friendly. The advice section of website has computer usage information, but lacks instructions on individual preparedness to disaster or how to act during emergency situations, which are indeed the most expected and useful advices. Some sections of the NEMA website do not function, including the portal on the Disaster Research Institute. Thus, the website of NEMA is not only interesting because it shows some of the limits of the Mongolian crisis communication. More generally, it exemplifies the difficulties of this Agency: it covers all the most relevant issues, and theoretically provides useful and significant data. However, due to a lack of human resources, and probably also to a lack of strategy, some of these data are not properly updated (which is a major drawback for a website) and there is no translation of them. Hence, what should be done proves to be well-known and properly implemented, but is nevertheless not achieved, depriving the Agency of the full benefits of its potential. How was this communication framework to deal with the dzud? The NEMA organized distribution of hay and fodder from the State Reserve Fund, and also of aids such as medicine, bio-supplements, and medical vehicles. This was covered by most media channels. As the National Radio is the most used communication channel for rural populations, NEMA had worked closely with the radio to report on dzud donor aid. Also, SEC and NEMA worked with 7 different radios and 14 TV stations on dzud crisis coverage. The Mongolian National TV was the major media partner during a nationwide campaign on collecting donations from general public, which resulted in over 4 billion MNT of public donations54. Likewise, the dzud losses and response was covered by media extensively. Journalists obtained dzud information from many sources, such as different officials from MoFALI, NEMA, and MOH. However, there were discrepancies in the information that was released to public, because there was no integrated and reliable data system in place, and journalists picked up all available information from any source. Thus, the weakness of the information management system did not only have operational consequences in terms of aid coordination, but also in terms of public communication. 52 Interview with Ms.Dulamsuren, Specialist, Media and Public relations department, NEMA. 53 Interview with Ms. Dulamsuren, Specialist, Media and Public relations department, NEMA 54 NEMA (2010), Report on Dzud affected populations, Ulaanbaatar, Mongolia 68 Dzud National Report 2009-2010 ERST, UNDP - NEMA This should be a subject of major concern for Mongolian authorities. Indeed, discrepancies, inconsistencies or contradictions in the information delivered to public in crisis situations gravely threaten the credibility of the authorities as crisis managers. As a result, people hesitate to trust them, to follow their recommendations, and then to adopt proper behaviours to alleviate the consequences of a disaster and make its management easier. Such a situation does not have too heavy consequences when facing a dzud, which is a very slow onset disaster and then doesn't request the immediate and simultaneous adoption of proper behaviours by a huge number of people. But, in case of an actual and rapid disaster, with a great number of potential victims, it could have the worse results. The paramount importance of coordination of crisis management also concerns information issues. At local level, herders received dzud related news and data through the following information channels1255: • From aimag or soum governors’ visit to herder households • From bag governors • By mobile phone • By herders’ visit to aimag and soum centres • From one herder to the other • Radio, mainly Mongolian National Radio • Television, mainly Mongolian National TV • Local FM radio The dzud assessment team assigned by the State Emergency Commission also made visits to herder households and introduced government policies and response to the dzud. At international level, communication initiatives proved very useful to raise the awareness of donors about what was happening in Mongolia. In the framework of its “Cash-for-Work” programme, UNDP organized an International Media trip. The press trip brought international reporters from the New York Times, Associated Press as well as from the Austrian and New Zealand radio to the Cash-for-Work target aimag of UVURKHANGAI, the hardest dzud hit aimag in Mongolia. This trip was part of broader efforts to raise funds internationally for disaster preparedness and prevention programmes in Mongolia. The press trip was organized from 10th to 15th of May, providing journalists an ample opportunity to meet with herder families involved with the unprecedented cash-for-work project, to see carcasses removal in action and to interview local officials, herders, and officers from NEMA. The journalists were interested in learning about effects of the dzud on herders’ lives, reasons for dzud, youth coping with dzud, strategies of herders to deal with effects of dzud, and measures the most successful herders took in order to minimize their losses. As a follow-up of the international press trip, an article of the New York Times Reporter was issued in the New York Times and the Herald Tribune online and paper issues, as well as in the Guardian UK. The report of the Associated Press Agency was picked up by 116 news agencies across North America. Thanks to the wide coverage in the United States, many readers approached the New York Time to donate to Mongolian herders and help them in this difficult time. 55 Bayarmaa, Ch. (2010). Ministry of Health response to the Dzud and future actions, Ulaanbaatar, Mongolia 69 Dzud National Report 2009-2010 ERST, UNDP - NEMA The government of Mongolia should then pay attention to the involvement of international press and media in case of a disaster, in order to increase donors’ awareness and to strengthen their support. The network of Mongolian embassies in the world should also be mobilized with the same goal. After dzud period, the NEMA and UNDP jointly organized a live discussion on the 2010 dzud lessons learned with participation of government officials, and experienced herders. This discussion was broadcasted through the Mongolian National Television. Also, UBS prepared a special program covering dzud situations in aimags that had worst hits. Following the program an open discussion was held with the State Emergency Commission’s field team that visited those aimags. Starting from August 2010, the Mongolian National Broadcasting, a public television, has prepared a program, where successful herders share their experience with young herders. In addition, the Ministry of Food and Agriculture’s 2011 award for the best hay maker has been broadcasted via MNB television widely. The use of communication for both preparation and crisis management has thus been real. However, it has been more depending on established routines and specific opportunities than on a plan aimed at strengthening herders’ awareness and at urging them to improve their preparation. Communication however matters, and should then be part of the desirable planning for dzud preparation. 6.5. What to (re)learn from response phase 2009 – 2010 dzud started to be perceived as a disaster from January on, when the government of Mongolia decided to appeal for international assistance. However, it was clear since several months that the winter was to be especially difficult, and that exceptional measures could be necessary. Even if the government tried its best to face the situation when it realized what it was to be, two factors strongly limited the effectiveness of its decisions. The first one is that many of them were quite theoretical, as were the prospects of sufficiently increased livestock export, or the relocation of symbolic hay and fodder reserves. The second one is that those decisions which, timely made, could have been efficient, were most of the time behind the schedule. That explains why the government had to rely on international community to deal with this disaster. But international relief and cooperation need coordination and organization, which have not been at their best during this crisis. The main lessons of this crisis could then be summarized as the need of anticipation, the need of coordination and the need of organization. 6.5.1. The need of anticipation Compared to many other disasters, dzud is a relatively easy one to deal with. First, because it can be reasonably be foreseen. Second, because it's a slow onset process, which gives time to manage a proper response. Third, because countermeasures are well-known, and not so difficult to organize: all what has to be done is to feed and shelter animals! By the way, it should be noticed that soviet style economy, which was not famous for its economic successes, was able to cope with such a phenomenon. But, like all other disasters, dzud cannot be properly faced without preparation. In addition to a long term relevant livestock policy, preparation for dzud means that sufficient amounts of feed are stockpiled, and may be timely distributed when and where needed. It means that proper and sufficient shelters have been prepared to protect livestock from extreme cold. It means that relevant rescue and transportation means are available at local level, in order to be able to save lives, to get information and to assess the situation. Then, it means that dzud has to be anticipated. 70 Dzud National Report 2009-2010 ERST, UNDP - NEMA Anticipation means planning: nevertheless, there is neither national nor local plans plan to face dzud situations. There are some local plans, but which are not part of a national strategy, and which moreover have very few means to rely on. There are also probably many response plans scattered around line ministries and agency. However, the main thing lacks, that is a national plan which would organize a coordinated preparation and response to a dzud. Because of this lack, the government didn't have at its disposal the convenient means to prepare for a possible disaster and to respond to its occurrence. It didn't even have the proper information to build up a strategy, and to get international support to strengthen its implementation. In a properly managed crisis situation, the government should have been able, when appealing for international support, to say weeks before when this help would be needed, where it could reasonably expected to be useful, what it would preferably consist of, and in which quantities. It would have been able to give such details because of the data which would have been beforehand collected from local levels, providing the necessary information to anticipate that national means wouldn't be enough to face the situation, and that international appeal was necessary. This would have been the last phase of a national plan drafted in such a manner that the next decision to make does not address what happened yesterday but what will happen next month. Such a plan would include a beforehand designed data collection system, in order to avoid duplication of efforts, discrepancy of data, and, as a result, difficulties to properly and timely assess the situation. Such a system is moreover relatively easy to design. If the Mongolian rural areas suffer very harsh natural conditions, they also are a rather simple environment, where there are not so many relevant data to collect. NEMA needs to work along with other agencies, e. g. MoFALI, MOH, and DOH in order to come up with a national network of data collection and information exchange. Such an anticipation tool would allow the government, and possibly its international partners, to better target their actions. It is indeed quite difficult to take time to design smart aid policies when people are going to starve: thus, the strategy is to provide the same support to everyone. But everyone does not necessarily need the same aid, and, therefore, such strategy decreases the effectiveness of aid. It can even decrease the effectiveness of an overall livestock policy, if it conveys the idea that, whatever efforts are made by herders to prepare for winter, they will be supported by the government or its international partners. Conversely, anticipated strategies can help to design more accurate, and as a result more effective, aid policies. Anticipation also means communication, because neither the state nor local authorities can deal alone with dzud preparation. This preparation is, first and foremost, the task of herders themselves. But this last year's experience shows that they have to be reminded of what they have to do, and that communication should be therefore part of a global planned dzud strategy. A relevant communication process for dzud preparation should extend from the beginning of summer, when it’s time to encourage herders for their preparation work, to the early warning release as described above. The first lesson to be learnt from this disaster is then the need of a national and local planning to face dzud situations and ensure that, should a disaster occur, a proper management system will smoothly start to work. 6.5.2. The need of coordination During last winter events, coordination failed at both national and international level. At national level, the whole system didn't succeed in properly preparing for winter. But it also failed in implementing a coordinated response. For instance, the time needed to locally implement national decisions by disbursing allocated funds shows that there is no smooth coordination process 71 Dzud National Report 2009-2010 ERST, UNDP - NEMA between local and national level. The fact that NEMA had to try hard to gather relevant information on what was happening also demonstrates a poor coordination capacity: when it's difficult to get information on what happens, it's still more difficult to make and implement relevant decisions for crisis management. Regarding the relations between the government of Mongolia and international community, this coordination was also weak, if not worse. They started with a misunderstanding, when the government appealed for support, but declared that the situation was not at disaster level. Later, it was clear that it had already distributed two third of its hay and fodder reserves when it appealed to International humanitarian organizations. It would have been better to disclose this information and tell about the remaining reserves at that time, instead of hiding it as a state secret. Similarly, detailed assessment reports by SEC have not been shared with all other stakeholders, including donor organizations. Such a situation has three adverse consequences. The first one is to delay the possible action of international partners, since they have to find information by themselves. The second one is to undermine the necessary trust between partners, all the more that it can be difficult for international organizations to understand, for instance, why such an innocent question as the level of stockpiled hay seems to be highly classified. Government rules or procedure on information disclosure needs to be revised and special emergency procedure should be applied during such situations. The third and main one is to lower the effectiveness of aid: without coordination, each organization addresses its own populations, areas and / or specific concerns, and no common strategy can be drawn up and implemented. In such situations, action of different stakeholder can overlap, while other acute problems aren't addressed or other needy people aren't supported. It is likely that such situations happened during last dzud. A proper coordination system is difficult to build up in the rush of emergency. The role of plans is also to design it, so that it could be beforehand well-known by all the players, who should also be trained to implement it. Plans could play this role provided that they are interdepartmental and inter-agency plans, which can anticipate the need of a coordinated organization. This coordination shall be performed at both political and operational level. The Mongolian State Emergency Commission can be a relevant body to ensure the political coordination of disaster management. However, it cannot in the same time ensure a proper operational coordination, which has been the main lack during last dzud. Another professional body, working on a permanent basis, should be entrusted with this task. Far beyond the case of the 2010 dzud, this issue of coordination of disaster management in Mongolia is a key one, as it has been underlined by several international assessments and reports since many years. The Mongolian authorities should be aware that the weaknesses of their system had adverse consequences during a slow onset disaster as dzud, with low stakes in terms of human lives, but that these consequences would be absolutely dire in case of a large and rapid disaster. The main feeling of most of the stakeholders who witnessed last dzud response management seems to be that its main failure has been the one of coordination. Coordination implies to be able to get and share relevant information, and to jointly design appropriate response. That's why it needs organization. 6.5.3. The need of organization There can be neither anticipation nor coordination without organization. This organization should be designed at all level, and one of the lessons from previous dzud was that it failed at all level. The importance of the herders community level has been underlined above, when considering the preparation phase. But these communities also need to be involved in the response phase. It doesn't 72 Dzud National Report 2009-2010 ERST, UNDP - NEMA seem that they have been during last dzud. A proper and strong crisis management capacity should also be built at local level. We already underlined that aimags governor's offices faced difficulties to quickly implement national decisions, and that it adversely impacted the response capacity. It is likely that, despite of a strong commitment of all local stakeholders, crisis management capacities aren't at their best at local level, due to a lack of planning, of training and above all of national support. The fact that almost no response means exist at local level, notably in terms of budget, is very penalizing in many respects. First, because it necessarily delays the response, any decision having to be made in the capital city. Second, because it overwhelms the SEC with petty issues and details, and prevents it from addressing the strategic issues it should deal with. Decentralization is then not only a proper answer to the challenges of preparation, but also to the needs of effective response. At national level, the National Emergency Management Agency has been set up by the law years ago with the broad purpose of being “responsible for the implementation of the state disaster protection policy, of the legislation on disaster protection and the organization of nationwide protection activities56”. A United Nations Disaster Assessment and Coordination (UNDAC) team underlined in a 2004 report that “NEMA has been given the responsibility for the coordination of all disaster (related) measures (…). This is a major and vital national responsibility, which cannot be successfully fulfilled without an inclusive and transparent system of coordination at various levels. There is no such system existing at present though a considerable amount of discussion and consultation does take place at the personal and informal level.” Despite of the law's provisions, and of these recommendations, one of the main lessons from last dzud is that NEMA hasn't been enabled to play such a role, and that no alternative organization took over the task of coordinating national and international stakeholders. It is not the purpose of this report to draw the details of such an organization. However, it can be • Legal provisions: NEMA already is involved with such a task; underlined that it is not so difficult to set up, based on: • An interdepartmental and inter-agency network, developing joint working processes and • Within this working process, the drafting of national and local plans to face dzud situations; trainings; • Practical devices such as communication tools and crisis management centre. Let’s add that this organization should be fixed, well-known by trained participants, and transparent. Every stakeholder should know what role he is expected to play, either for preparation or for response. Such an organization was one of the targets of the whole Mongolian effort, made since years with support of international community, to build up an effective and reliable disaster and risk management system. One of the main lessons of last dzud, if not the main one, is that this goal has not been reached yet. Hopefully, Mongolian authorities and their international partners will not need another dzud to complete this so necessary task. 7.0 Address dzud as a systemic issue At the end of this report, it should normally be time to list a set of recommendations, which should be consistent with the above provided assessments. These recommendations should address the issues of livestock policy (keep the national herd within the limits of pasture carrying capacity), of 56 Law on disaster protection, article 15; 73 Dzud National Report 2009-2010 ERST, UNDP - NEMA institutionalization of this policy (strengthen a community based policy by supporting the development of herders groups), of winter preparation, early warning, and so on. However, and as said above, all these recommendations have already been formulated since more than ten years, and most of them have been repeated so often that they now look like obvious decisions to make to anyone who approaches for the first time the dzud issue. Rather to repeat them, we would here suggest a new approach to this issue. Instead of repeating what should be done in regard of dzud, we would indeed try to address another remaining question, which sounds quite harsh to those who believe in the possible effectiveness of public action and bemoan the dire consequences of dzuds. Whereas so many studies, reports, assessments and recommendations leading to the same conclusions have been written since ten years or more, and considering the fact that dzud is an easy issue to deal with, why is Mongolia so durably unable to solve this problem? We would like here to put forward an assumption, and to propose the corresponding recommendations. The assumption is that dzud is a systemic issue, which has never been addressed as such so far. As said above, a great number of papers, assessments, reports, have been written in Mongolia about dzud as a disaster. Depending on the concerns of their backers, these studies address more or less specific matters, such as livestock policy, economy of Mongolian husbandry, pasture management, herder's poverty and its impact on their health, crisis management capacities, etc. But it doesn't seem that any of them tackles this subject as the systemic problem it is. All the explanations of the numerous failures and of the inabilities to overcome dzuds have been given, detailed and learned. As a result, most of the stakeholders have tried to work harder to solve the problem. Whereas we write these lines, a lot of people are working from the top of the Mongolian state to the ground of herders to prepare the 2010 – 2011 Winter but, nevertheless, nobody is today really able to swear that another disaster will not occur. The Mongolian state, the whole Mongolian society, the international partners of Mongolia are approaching to the next winter as if they were blind: they hope that their preparation has been proper and sufficient, but they have absolutely no certainty about this. However, what is at stake is not a possible unpredictable, suddenly striking and devastating natural disaster, but only the fact of being able to herd livestock during winter, like Mongolians have done over the past centuries. This situation means and exemplifies that the Mongolian state is today unable to address three • To design and implement a relevant livestock policy, the basics of which are well-known main, but however relatively simple, issues, which are: and indisputable57, • To decide, explain and declare the limits of public involvement in the winter preparation in • To establish and support a proper disaster management system, the basics of which are also order to clearly delineate the responsibilities of the different stakeholders and, well-known. However, let's repeat that most of the stakeholders work hard to reach these goals, and that the failure isn't theirs, but the failure of a system which, despite of the inputs it receives in terms of recommendations, work and commitments, is unable to provide the expected final result. We would assume here that there are three explanations to this failure, which are: 57 They basically consist in maintaining the national herd within a limit consistent with the country's carrying capacity. 74 Dzud National Report 2009-2010 ERST, UNDP - NEMA • The fact that this system did not decide its own limits, and in consequence does not exactly know to which extend it should pursue its goals, and where it should give up and expect other players to take over. Correlatively, these other players tend to expect from the system more than that it can really provide. The gap between public and private preparation is a • significant explanation of the disastrous consequences of dzud. The fact that this system is equally unable to coordinate itself in order to achieve relatively • complex goals. Lastly, the fact that this system does not share the responsibilities and the power to make decisions, which paradoxically explains part of its impotence. The recommendations are linked to these explanations. They do not intend to answer the detailed questions which are raised by the dzud issue, since these questions and answers have been very often highlighted, and don't need to be reminded once more. They try to suggest how to deal with the systemic problem that dzud seems to exemplify. 7.1. Overall diagnostic and recommendations: define where are the limits of state's involvement Studying the preparation for and the response to dzud gives a strange feeling. On one hand, the issue of public preparation, of public reserves of hay and fodder, of strict organization by state's resolution of all the tasks to be performed, can give the impression that there is a strong public commitment to this work, and that along with this commitment come the corresponding means. This has probably been true when Mongolia was a planned economy, and when the state used to rule every aspect of economic life and endorsed the risks of every activity. However, it's no longer the case, and looking seriously into the national system of preparation make it appear as an old car which would still have all its command levers, but unfortunately no motor any more: moving the levers cannot provide any significant effect. Similarly, moving the levers of old methods does not lead to any visible result in the framework of new institutions and practices. Thus, local authorities are yearly entrusted by central government with preparatory tasks, as they probably were thirty years ago. But they have now very few means and room for manoeuvre to really achieve the goals they are supposed to reach. That is not so important as long as no disaster strikes, since nobody really monitors what they perform. But, when dzud occurs, the resolutions by the government look like wishful thinking, more than like effective provisions. A good example of this situation could be given with public reserves of hay and fodder. All the studies about livestock policy remind us that they were significant and useful during socialist time. There are so many decisions, papers and comments related to them for the time being that we could think that they still are. However, looking into what they really consist of shows that they can provide at best four or five days of feed for the whole national herd, in a country where winter is likely to last six months! They nevertheless are called 'Strategic reserves', as if they were able to make a significant difference... Many other examples could be given of a system which did neither decide nor explain where were the limits of its involvement. In other terms, Mongolia still does as if it had an omnipotent state, but this state has nevertheless lost a significant part of its means. This situation is certainly very confusing for a lot of citizens, and notably for a lot of herders, who can believe for instance that public reserves of hay and fodder could substitute for their own preparation, which is not the case. It's of course a major political issue to decide the limits of the state's involvement in any activity, and that's why the answer to this question cannot be given here. However, it is highly advisable that the Mongolian society could have this kind of debate and make a clear decision about the limits of the state's involvement in private husbandry. Having a clear policy and clearly explain it through an 75 Dzud National Report 2009-2010 ERST, UNDP - NEMA appropriate communication plan would probably be much better than relying on patterns which do not exist anymore. A clear delineation of the responsibilities of all the system’s actors could be a first step towards its improvement. Defining and explaining the limited role of the state could also lead to entrust other players with clearly delineated tasks, to recognize their role and duties, and to allocate to them the corresponding means. This should be done for local authorities, through a real decentralization policy, but also for herders groups and communities, which role should be recognized by law and strengthened by national policies, and not only by international partners, as it is today the case. 7.2. Overall diagnostic and recommendations: coordinate strategies, implementation will follow. One of the reasons why central Mongolian state focuses on details of a virtual public preparation, rather than to strategize relevant policies may be that it does not have at its disposal the institutional means to do so. One of the most important responses to dzud might then be to build up this strategic capacity. Let's ask the question in other terms: is it more important that the government could provide two days of additional hay to Mongolian herders, or that it could design and implement a clever and fruitful livestock policy in Mongolia? What we call here a 'strategic capacity' would be the fact, for the Mongolian state, to be able to coordinate at high level the design and the implementation of relatively complex multi-sectoral policies. The fact that, despite well-known solutions and international support, Mongolia has been for years unable to have an effective livestock policy suggests that its state lacks this capacity. Up to a point, the livestock policy, which is so closely linked with the dzud issue, can be a challenging one for the government of Mongolia, because it mixes a lot of different aspects: • A cultural one: we already have highlighted the place of livestock and husbandry in the Mongolian soul. Livestock is not a kind of asset which can be neglected, or considered as a 'normal' one, and this cultural feature has to be taken into account by any livestock policy. • An economic one: a significant part of Mongolian GDP is provided by livestock and, with the implementation of relevant policies, this part could still increase. Lot of direct and indirect jobs are also provided by this activity. • A social one: even at subsistence level, livestock provide a safety net to herders, it ensures a minimum livelihood and protects from unemployment. In that sense, supporting poorly skilled herders with small herds can be more desirable, and even perhaps more cost- effective than having to support unemployed people crowding the suburbs of the capital city and expecting social allowances to survive with. • One regarding territorial planning, since husbandry contributes to balance the population between urban and rural areas. Hence, in Mongolia, this apparently simple policy can be a relatively complex multi-sectoral one, requesting a strong ability to make balanced strategic choices. For instance, should the priority be given to economically effective herds, which probably supposes to mainly support 'big' herders, or to the safety net provided to subsistence herders by their livestock? Would it be appropriate to share the Mongolian herd between a ‘social’ herd, providing subsistence means to a number of small herders until they can find alternative income sources, and an ‘economic’ herd, based on private skilled and wealthy entrepreneurs, able to shoulder the risks of their activity without public support? If yes, what should be the part of each herd? Up to a point, these goals may be contradictory, and need political choices to be made. 76 Dzud National Report 2009-2010 ERST, UNDP - NEMA One of the reasons why, despite of so many assessments and recommendations, Mongolia doesn't really have a livestock policy might be that it doesn't have the proper tools to design and implement it, that is to make relevant choices and decisions among goals which apparently are contradictory. Although the purpose of this report wasn't to assess the whole scope of the Mongolian state's functions, we can assume that it doesn't have the permanent and high level coordination body which would be able to assess all the above mentioned features of livestock policy in Mongolia, to appraise possible options and their long term consequences, to propose them to the government and, once decisions have been made, to monitor their implementation by all the relevant line ministries and agencies. For the time being, the MoFALI is entrusted with livestock issues, but it is likely that no multi- sectoral approach of this matter is organized to prepare and facilitate the government's decision. Such an approach is however not so easy to develop for a line ministry, which normally tends to address the issues it knows and masters, rather than to deal with multi-sectoral questions which are out of its usual scope of work and skills. MoFALI is able to deal with technical aspects of livestock policy, but its tasks cannot for instance encompass the social dimension of livestock farming. This could explain why no strategy is drawn up, why no decision is made, and why the national herd extends without control whereas its only regulation is provided by dzud. This probable lack of strategic coordination capacity at the highest level of the government is also exemplified by the fact that no institution seems to deal with the disaster risk reduction policy, which is a complex and multi-sectoral matter as well. The State Emergency Commission is supposed to be entrusted with this task. However, it doesn't actually perform it, probably because of a lack of personnel, and perhaps because neither this issue nor this institution (as far as it would deal with it) is really recognized among the Mongolian line ministries and agencies. This lack of strategic coordination capacity also has other consequences which extend to operational level. For instance, number of assessments has also been drafted since years by number of different experts about the organization of the Mongolian disaster management system, which proved so weak during last winter. Some of them have been quoted in this report. All of them are remarkably consistent, giving exactly the same conclusions, namely the essential need of an operational coordinating body for disaster management. The implementation of these conclusions would be neither so difficult nor expensive, and it would be likely to provide at no cost quite effective results. Nevertheless, these recommendations haven't had a better implementation than the ones regarding livestock policy and the Mongolian authorities remain perfectly unable to face any serious disaster because of this well-known and easily solvable problem. Such a situation is quite challenging from a public management point of view, because it is not so easy to explain why it is so difficult to implement simple and well-known solutions to lasting problems. And there is no other satisfactory explanation that the fact that no institution, no specific coordinating body within the government of Mongolia is entrusted with the task of designing a strategy for disaster management (for instance), and to monitor its implementation. Therefore, the issue remains outstanding because, if everybody knows what has to be done, nobody is entrusted with the responsibility to do it... There are then several clues that the Mongolian state management system could be unable to translate ideas into strategies, strategies into policies, and policies into decisions. Then, the system is able to make decisions, such as the ones it did before last dzud. Most of these decisions are only the repetition of the ones which had been previously made, and are based neither on any assessment of their effectiveness nor on the implementation of a defined strategy. Curiously, after the failure of 2009 – 2010 winter, when the Mongolian public system proved so poorly able to overcome the consequences of dzud, the preparation of the 2010 – 2011 winter takes place in the same framework, with the same methods, assumptions and organization. It illustrates how 77 Dzud National Report 2009-2010 ERST, UNDP - NEMA the government decisions are poorly connected to policies, which actually don't really exist, and why they provide so few results, if any. It also exemplifies that the governmental system is unable to assess its own performance and results, and to accordingly adapt its policies and processes. Even if apparently far from the dzud issue, the building up of such a strategic coordination capacity is of key importance for the design and the implementation of any multi-sectoral policy, and it would then be highly advisable that the government of Mongolia, with the support of its international partner, foresee to create such a capacity at the Prime minister’s level. 7.4. Overall diagnostic and recommendations: achieve decentralization Up to a point, the Mongolian framework of local administration is pretence of decentralization. There are indeed local authorities such as governors, local parliaments, local branches of line ministries and state's agencies, and all of these draw an impressive net on such a huge territory. Such a net should moreover be considered as a strong asset for Mongolia, since it allows the management of huge spaces and scattered populations with a real sense of public interest and a strong commitment of most of its members. However, and whatever task they are entrusted with, none of these local authorities or bodies has the slightest room for manoeuvre to try to meet the specific local needs or to solve the local problems at its own level. Due to the purpose of this report, we didn't assess how worked the relation between line ministries and their local branches, but it is highly likely that the pattern is always the same, namely an omnipotent central power, and “decentralized” entities which try to cope on the ground with both orders coming from the government and the realities they locally face. As said above, budgets of local authorities are decided at governmental level in their slightest details, and with absolutely no margin, neither for local priorities nor for unplanned events. This situation has three kinds of very adverse consequences: • It is one of the reasons why the central government is unable to define high level strategies and make sure that they are properly implemented. When, for instance, NEMA's executives spend most of their time on the spot in time of animal diseases, they have no more availability to perform what should be their main task that is to design the framework of disaster preparation and to run its proper implementation. That's why nobody does it. Likewise, whereas the State Emergency Commission is overwhelmed by any petty incident happening at local level, because local authorities don't have any mean to overcome it, it is unable to deal with issues at political level which, due to its make-up, should be its major concern. Because central government performs the tasks of local authorities, nobody performs the tasks of central government... • It is a serious obstacle to the smooth and proper implementation of national policies. There is for instance a large agreement on the idea that herders groups should be supported as a very effective solution to the problems of pasture management or winter preparation. However, depending on the areas in the country, on their local customs, on the local means and constraints, this kind of support could be organized in many different ways all over the country. Because the goal is to design a community based policy, the minimum requirement should be to be able to meet the communities’ needs and projects. And yet, matching the local needs can prove very difficult when local authorities don't have any possible initiative in terms of budget and funds allocation. Likewise, the fact that local authorities can only rely on national level, and on the means it will – or will not – provide to prepare for winter is an obvious obstacle to a proper local preparedness. 78 Dzud National Report 2009-2010 ERST, UNDP - NEMA What is only a serious drawback in normal times can lead to disaster in emergency situations. Fortunately, Mongolia never really met this kind of disaster where decisions have to be made within a few minutes, with human lives possibly at stake. If it had, Mongolian authorities would know that a system in which no emergency decision can be made at local level, but always has to be expected from central level, is absolutely unable to meet the needs of a proper disaster management nor to overcome the consequences of any serious accident. • This situation is, in the same time, a waste of resources and a weakening of the public management system. A waste of resources because the local commitment of citizens and of civil servants as well cannot provide results commensurate with their efforts. And a weakening of the public management system, because this situation accustoms local bodies and authorities to find out of the official system and out of the public institutions the means and the counterparts they need to achieve their tasks. Thus, negotiations with private entities and local companies are sometimes a normal way or raising funds for disaster management policy. Such a situation is questionable, since there is no legal framework for these discussions, and then no certainty that they will always be consistent with public interest. Making the Mongolian public system more able to deal with strategic issues, and in the same time more able to roll out and properly implement locally the designed policies could the suppose to promote a really decentralized framework in this country. It is of course not the purpose of this report to propose the details of this framework, but the main principles on which it should be based can be summarized: • First, a decentralized framework should be aimed at giving to local authorities their own means – notably financial ones – to implement local policies. That means that they should for instance be empowered to collect taxes, within a national framework, and that they should also be able to reallocate the funds transferred from central level in order to better match the local needs and priorities. Of course, all these powers should be exerted under control of the local parliaments. • Second, this local freedom should come along with an effective control system on local decisions. This control shouldn't be a bureaucratic process which would uselessly delay their implementation, and should only be exerted in regard of legal issues and of legal disbursement of funds. • Lastly, strategic goals should be, within this framework, assigned to local authorities. Rather than a certain amount of hay to be stored, the goal of a proper winter preparation could for instance be given, along with indicators of success and with room for financial manoeuvre within the legal framework. Contradictory assessments of local policy would contribute to their monitoring, as well as to the national sharing of the most successful experiences. Decentralization could thus be one of the responses to the relative impotence of Mongolian state to properly implement the decisions it makes. Such a policy has been explicitly pointed out by the government of Mongolia as a response to dzud and a lesson learned from last winter58: this is an opportunity for international partners of Mongolia to support the development this demanding, but also promising policy. It would need of course a deep change in the habits and in the minds of most of the Mongolians stakeholders. But the fruits to be drawn from this policy could only increase the support it needs among them. 58 The government’s resolution 137, issued in July 2010, approves a ‘consolidated action plan on overcoming 2009- 2010 winter and spring Dzud and disaster aftermath’ to be implemented from 2010 to 2012. Point 5 of this plan consists in ‘developing draft laws and resolutions to neutralize centralization and delegate more power to local authorities’. 79 Dzud National Report 2009-2010 ERST, UNDP - NEMA Rather than a separate problem – separate from other national or political issues - we then suggest that dzud exemplifies the limits and the inabilities of the Mongolian state as a system, and that no significant improvement of its capacity to face this phenomenon can be expected apart from systematic changes in its organization. 8.0 Conclusion ‘The difficulty lies, not in new ideas, but in escaping from the old ones’.59 Dzud in Mongolia should not be a disaster and is a scandalous paradox. It should not be a disaster because the means to prevent its worse consequences are well-known. They have been studied since more than a decade in all their details, and all the relevant proposals have been formulated, regarding livestock policy as well as disaster management organization or local mitigation policies. There has never been any serious dispute about the recommendations formulated by many different experts and working groups, which are perfectly consistent and convergent. Most of them are repeated from report to report, not because of a lack of imagination of their authors, but just because they are suggested by nous and experience. Moreover, the fact that the former Mongolian institutional framework was more efficient at facing this phenomenon also demonstrates that already tested solutions can be practically effective. It is then a scandalous paradox that, despite of these perfectly convergent works and findings, the succession of droughts and harsh winters can still lead to such increasingly devastating effects on rural populations, particularly on the poorest ones, and on the global situation of the whole country. Such a situation is tenable neither from a human point of view, considering the sufferings inflicted by dzud to the most vulnerable populations, nor from an economic one, taking into account the incredible waste of resources caused by such livestock losses. Nevertheless, it seems that Mongolia and Mongolian authorities resign themselves to accepting a succession of disasters, followed by reports explaining how they could have been avoided. The resolution of this paradox may lie in the fact that the Mongolian institutional system is not able to implement these well-known solutions. The collapse of the soviet-style Mongolian state left public institutions with an uncertain role, easily suspected of consuming an excessive part of common resources and of threatening economic freedom. It is highly likely that, in this situation, the new Mongolian state has not been given the means and the proper institutions to be able to play the role of a modern state, namely to strategize key collective issues and to coordinate the implementation of the resulting policies. The example of dzud illustrates how, because of this lack of proper institutions and processes, the Mongolian state can only repeatedly rely on old ways of acting and old fashioned solutions. However, these solutions, designed for a collectivist state, cannot have any more effectiveness in the new framework of liberal institutions. But, because of the absence of capacity to draw up any alternative strategy and policy, they are still used, with the senseless hope that the ghost of old methods will provide solutions to the current problems. The key solution to the dzud issue, and probably to a lot of other problems faced by Mongolian society, is thus to build, at all the state levels, this capacity to design strategies and policies and to monitor their implementation. 59 John M. Keynes, Preface to the General Theory of Employment, Interest and Money. 80 Dzud National Report 2009-2010 ERST, UNDP - NEMA This first implies to create a strong institutional framework for the coordination of inter- departmental policies: such a framework does not exist for the time being, and that’s why a shaped and comprehensive multi-sectoral policy to face dzud has never been designed yet. Such a framework, aimed at giving to the Mongolian state the capacity to play its strategic role, is neither necessarily very complicated nor expensive to build up: the setting up of a relatively small inter- sectoral and permanent team supporting the Prime minister’s office could probably be sufficient, and prove very cost-effective. This can also, and second, lead to a real decentralization policy, in order to create local capacities to draw up relevant solutions and strategies, so that the strategic goals assigned by central government could be locally pursued through the most effective ways, and so that communities, and notably herders groups, could have efficient partners to deal with. Such proposals and recommendations may sound ambitious, and out of proportion to the purpose of this report. However, the study of details and the recommendations about the best ways to solve the several questions raised by dzud have already been made and formulated. It might be time, now, to create a framework for their successful implementation. 81 Dzud National Report 2009-2010 ERST, UNDP - NEMA References • ACF, (2010), Food Security Follow up Assessment in Bayan-ulgii and Uvs Aimags in June • 2010, Mongolia • Atwood C P, 2004, Encyclopedia of Mongolian and the Mongol Empire, Author unknown, The Secret History of the Mongols, publication of 1991, Ulaanbaatar, • Mongolia Bolortsetseg et al, 2002, Pasture biomass changes in the past 40 years based on pasture • plant phenology and height (in Mongolian), Research Report, Vol. 24, pp. 108-114. Brown, N., (July 2010). Final Report on Emergency Program of FAO in 2010 in Mongolia, • FAO, Mongolia. Centre for Policy Research, (2002), Rural Development Strategy for Mongolia in • collaboration with GoM working Group with support from WB, UNDP, FAO, DFID. Dietz, A. J., Amgalan, E., Erdenechuluun, T., Hess, S., (2005) Carrying Capacity Dynamics, Livestock Commercialization and Land Degradation in Mongolia’s Free Market Era, • Poverty Reduction and Environmental Management (PREM), University of Amserdam. FAO, (2007) Institutionalizing Pastoral Risk Management in Mongolia: Lessons Learned, • Case Study under FAO project TCP/MON0066, Rome FAO, ISD Sussex, (2003) Managing Pastoral Risk in Mongolia – A Plan of Action, • TCP/FAO/MON0066, Rome. FAO, MoFALI, (Feb 2010). Rapid Need Assessment: Effects of Dzud in Livestock Sector, • Mongolia. Fernandez-Gimenez, M 2000, The Role of Mongolian Nomadic Pastoralists’ Ecological Knowledge in Rangeland Management, Ecological Applications: Vol. 10, No. 5, pp. 1318- • 1326. • GoM (2009-2010), Government Resolutions on Dzud related issues from www.legalinfo.mn • GoM, MNET, (1997), National Plan of Action to Combat Desertification in Mongolia. GoM, National Council for Sustainable Development, (1998), Mongolian Action Program for the 21st Century • Hardin, G ‘The Tragedy of the Commons’, in Garrett Hardin and John Baden (eds), Managing the Commons (San Francisco: WH Freeman and Co., 1977) pp. 20, 28-9 (first • published in Bioscience 162, 1968). Humphrey C. and Sneath. D, 1999, The End of Nomadism? Society, State and the • Environment in Inner Asia, Cambridge, the United Kingdom. IFRC & MRCS (Hitchcox, L., and Raj, V.) (Apr 2010). Assessment report: Livelihoods Support in Response to Dzud Disaster in Mongolia (Households security module), • International Federation of Red Cross and Red Crescent Societies. Institute of History, Mongolian Academy of Science, 2004, History of Mongolia, • Ulaanbaatar, Mongolia. Institute of Meteorology and Hydrology (2006), Climate Change Vulnerability and Adaptation in Livestock Sector of Mongolia, Report submitted to Assessments of Impacts • and Adaptations to Climate Change (AIACC) GEF funded UNEP Project No. AS 06. JEMR Consulting Company, MoFALI, (2001), Livestock in the Winter of 2000-2001: • Conclusions-Lessons Learned-Challenges, Ulaanbaatar Jigjidsuren. S, 2005, Pasture Management (in Mongolian), Ulaanbaatar, Mongolia. 82 Dzud National Report 2009-2010 ERST, UNDP - NEMA • Mearns, R 2004, Decentralization, Rural Livelihoods and Pasture-Land Management in Post-Socialist Mongolia, European Journal of Development Research, Vol. 16, No. 1, pp. • 133-152. • MoH, WHO, Rapid Assessment on Health Sector, 26 February – 16 March 2010, Mongolia MNET, 2008, Biennial Report of Environmental Condition to the Parliament, Ulaanbaatar, • Mongolia MoFALI and ADB, 2008, Agriculture Sector Development Strategy for 2006-2015, • Ulaanbaatar, Mongolia • MoFALI, (2010), Data on livestock losses, Otor herders, and Needs MoFALI, (2010), Guideline on What to Prepare for Livestock to Pass Winter and Spring • and its Monitoring and Evaluation Manual. NAMEM, (2009) Weather prediction of upcoming winter from October 2009 to March 2010 • in booklet and monthly predictions • NAMEM, (2009-2010), Monthly-weather reviews and weather warnings Natsagdorj L, 2009, Desertification and Climate Change, (in Mongolian) Ulaanbaatar, • Mongolia. • Natsagdorj L, 2009, Droughts and Dzud, (in Mongolian) Ulaanbaatar, Mongolia. Natsagdorj L., 2005, Dzud, atmospheric phenomena, in Mongolian Pastoral Animal Husbandry and Strengthening of Early Warning System, Nomadic Studies, Mongolia, Issue • 11, pp. 174-193. NEMA, (2009-2010), Bi-weekly Updates of Emergencies and Disaster in Mongolia to • stakeholders • NEMA, (2010), Data on Dzud losses, Dzud Affected Herder Household Survey. • NEMA, (2010), Updates of Dzud Situation to State Emergency Commission (ad hoc basis) NSO (National Statistical Office of Mongolia), Mongolian Statistical Yearbooks 2000-2009. • Ulaanbaatar, Mongolia NSO, (2004), Household Income and Expenditure Survey/ Living Standards Measurement • Survey of 2002-2003. Mongolia. • NSO, (2009) Household Socio-economic Survey of 2007-2008, Mongolia • NSO, 2004, “Mongolia in a Market System 1990-2003”, Ulaanbaatar, Mongolia • NSO, Annual Livestock Census, 1989-2008, Ulaanbaatar, Mongolia. Nutrition Research Centre of PHI, WHO, UNICEF, US CDCP (2003) Final Report of a • Survey Assessing the Nutritional Consequences of the Dzud in Mongolia. Ulaanbaatar. Open Society Forum, (2004), Future of Nomadic Pastoralism in Mongolia – Public • Perception Survey, BCI, Ulaanbaatar, Mongolia Save the Children, (2010) Report on the 2009-2010 Dzud Disaster Impact on Schools, • Kindergartens, Children and Teachers in Mongolia, Mongolia. • SDC, (2010), Monthly Update on Dzud in Mongolia (March, April, May), Mongolia • SEC, (2010), Dzud Situation Report to Cabinet, March, May SEC, (Feb 2010). Report of Dzud Assessment conducted on 10-24 January 2010 in Western • 8 Aimags, NEMA. SEC, (March 2010). Report of Dzud Assessment conducted on 9-19 March 2010 in Eastern • and Northern 9 Aimags, NEMA Sinor D, (ed) 1994, the Cambridge History of Early Inner Asia, Cambridge University • Press. Sneath, D 2003, Land Use, the Environment and Development in Post-Socialist Mongolia, Oxford Development Studies, Vol. 31, No. 4, pp. 441-459. 83 Dzud National Report 2009-2010 ERST, UNDP - NEMA • Solongo, A., (March 2010). 2009-2010 Dzud Early Recovery Assessment Survey Report, • UNDP Early Recovery program, Mongolia. State Great Khural (Mongolian Parliament), Jan 31, 2008, MDG Based National Development Strategy of Mongolia and 2009, State Policy on Herders and Livestock Owners • and Mongolian Livestock Programme, State Great Khural (Mongolian Parliament), 2010, UN Mongolia Country Team (May 2010), Mongolia Dzud Appeal, Consolidated Appeal, • Ulaanbaatar, Mongolia. UNDAC (2004) An Assessment of the National Capacity to Respond to Natural and Man- made Disasters conducted between June 27-July 9, 2004 and its 33 recommendations. • Mongolia. UNDP (July 2010), Report of Post-Dzud Assessment Mission to Zavkhan and Uvurkhangai • Aimags, ERST Team, Mongolia UNDP Mongolia, (May 2010). Report on Rapid Assessment Mission in March 2010, • Dundgovi Aimag. Ulaanbaatar UNDP, (2000), Lessons Learnt from the Dzud 1999-2000, NAMHEM and JEMR Consulting • Company, UNDP Project MON/00/302. WHO, (2010) Survey on Improvement of Water Sanitation Condition for Dzud Severely • Affected Population, Draft report prepared by Solongo Ch., et al, Ulaanbaatar Williams, D.M. 1996, Grassland enclosures: catalyst of land degradation in Inner • Mongolia, Human Organization, 55, pp. 307–313 World Bank, (2009), Mongolia Livestock Sector Studies, Volume 1:-Synthesis Report, SD • Sector, East Asia and Pacific Region. World Vision, (July 2010) Mongolia 90 Days Dzud Response Project End Report, Project 193389 84 Dzud National Report 2009-2010 ERST, UNDP - NEMA Annexes Annex1: Winter preparation activities as of Nov 2009 (MoFALI) Otor in other Otor within the Ready to use Households to Types of wells Wind shelter supply Livestock to pass aimags Aimag Wells built this year water points and Total water points winter (thous.) pass winter wells Built this year Total Total Mechanized wells ponds/reserves No Aimag name Percentage Hand wells Households Households Households Required Present Livestock Livestock Percentage Water (thous.) (thous.) Bagh total À thous. thous. thous. % % 1 Arkhangai 99 17830 3613.8 45 33.3 1275 248.1 1114 938 163 13 659 59.2 15 13244 13213 99.8 235 2 Bayan-Ulgii 85 14998 1526.4 218 89.2 437 98.8 185 138 47 0 168 90.8 8 6831 6835 100.1 59 3 Bayankhongor 99 12513 2835.2 544 209.0 595 226.3 2781 717 2219 9 2735 98.3 73 8361 7917 94.7 214 4 Bulgan 70 7758 2672.1 19 8.8 277 113.2 589 317 223 49 563 95.6 40 7510 7556 100.6 129 5 Govi-Altai 83 8400 2354.6 165 65.7 292 140.2 1732 510 1404 166 1530 88.3 28 5609 5347 95.3 79 6 Dornogovi 57 3300 1032.5 43 23.8 115 47.9 3427 1579 1822 26 3281 95.7 35 2878 2846 98.9 42 7 Dornod 63 5068 1674.2 0 0.0 100 170.5 2482 298 2184 20 2482 100.0 70 3345 3345 100.0 54 8 Dundgovi 62 7520 2073.4 983 487.4 926 395.9 3225 434 2794 0 3158 97.9 11 5259 5094 96.9 15 9 Zavkhan 111 10613 3080.5 341 163.2 358 205.2 695 286 285 124 493 86.3 28 6756 6363 94.2 130 10 Uvurkhangai 104 18359 3726.5 475 198.9 1847 613.6 2005 435 1486 84 1903 94.9 33 8500 8200 96.5 193 11 Umnugovi 54 6400 1750.7 410 220.0 145 60.0 5397 435 4962 0 4600 85.2 61 5632 4960 88.1 50 12 Sukhbaatar 56 7818 1859.6 186 87.9 988 322.6 2047 667 1380 0 2047 100.0 88 3224 3224 100.0 55 13 Selenge 49 8224 1305.4 0 0.0 40 5.3 2695 489 2206 13 2460 91.3 38 8224 8224 100.0 177 14 Tuv 97 9984 3002.9 11 16.5 369 280.3 2021 674 1336 11 1974 97.7 49 6670 6641 99.6 111 15 Uvs 92 11578 2453.7 126 67.7 501 211.0 968 420 541 7 894 92.4 42 9226 9402 101.9 124 16 Khovd 91 9916 2687.2 64 22.8 544 268.9 2158 316 1743 28 2158 100.0 41 7359 7258 98.6 119 17 Khuvsgul 123 18484 3916.5 93 20.2 658 153.6 979 358 597 34 812 82.9 46 13437 17324 128.9 326 18 Khentii 82 7086 2405.1 68 36.2 147 83.9 1423 740 659 24 1163 81.7 49 5482 5942 108.4 115 19 Darkhan-Uul 17 2546 345.3 172 79.9 258 69.2 879 112 742 25 866 98.5 8 2475 2475 100.0 41 20 Orkhon 15 1104 313.9 708 197.0 56 14.1 79 52 17 10 69 87.3 4 1104 1104 100.0 19 21 Govisumber 9 485 170.8 36 16.9 5 2.5 214 148 64 2 169 79.0 4 347 347 100.0 0 22 Ulaanbaatar 75 3015 420.0 342 152.2 0 0.0 133 86 27 0 108 81.2 0 3015 3015 100.0 10 Total 1593 192999 45220.3 5049 2194.9 9933 3724.3 37228 10149 26901 645 34292 92.1 771 134488 136632 101.6 2297 From available feed feed in addition to grazing Total livestock required to be fed in shelters (thous.) Total livestock required Livestock fattening Available feed (in feed Pasture capacity Required feed (in feed preparation for winter emergency reserve Household private Prepared and reserved in Prepared and reserved in Prepared feed by Hay and fodder Overall Winter preparedness Aimag name Aimag reserves (tons) Soum reserves (tons) Feed supply percentage (thous.) unit) unit) ¹ Percentage Percentage Prepared Prepared Required Required À % tons tons % tons tons % thous. thous. % % % % % % 1 Arkhangai 44384.5 25513.1 57.5 0.0 0.0 0.0 7402.0 4780.0 64.6 108.1 889.7 37.0 100.0 73.7 35.4 81.2 81.2 2 Bayan-Ulgii 59699.5 25437.8 42.6 6784.3 6784.3 100.0 6784.1 1969.0 29.0 83.8 737.7 31.6 93.4 37.5 29 98.0 71.6 3 Bayankhongor 3850.8 1432.2 37.2 796.1 796.0 100.0 8556.4 1326.0 15.5 145.5 387.1 75.0 90.4 15.5 100.0 100.0 89.0 4 Bulgan 46296.5 57190.0 123.5 0.0 0.0 0.0 13259.0 7720.0 58.2 26.6 1089.0 68.1 96.0 77.0 63.0 100.0 91.4 5 Govi-Altai 4821.0 2217.0 46.0 200.0 200.0 100.0 7536.0 2351.0 31.2 16.7 29.7 33.7 86.5 57.8 47.8 92.1 70.6 6 Dornogovi 1318.0 797.0 60.5 0.0 0.0 0.0 432.1 406.7 94.1 3.3 68.8 61.5 91.3 55.7 68.1 96.0 75.4 7 Dornod 26390.0 33822.9 128.2 55000.0 55936.0 101 6.2 31.0 149.4 95.0 101.7 97.5 100.0 97.2 8 Dundgovi 9002.1 460.2 5.1 440.0 440.0 100.0 8109.4 403.4 5.0 6.3 171.8 65.7 93.0 10.2 4.9 79.0 62.6 9 Zavkhan 21893.5 5964.6 27.2 1050.0 499.0 47.5 9241.5 1890.5 20.5 34.4 868.1 62.7 92.6 67.0 66 98.1 88.9 10 Uvurkhangai 51325.0 10929.5 21.3 500.0 150.0 30.0 16368.6 1524.1 9.3 806.5 518.2 68.6 92.6 21.3 30 92.3 79.3 11 Umnugovi 3390.0 301.5 8.9 2000.0 200.0 10.0 2200.0 200.0 9.1 0.0 823.8 4.1 75.0 10.0 20 75.0 59.6 12 Sukhbaatar 8080.3 4328.1 53.6 9529.0 5100.0 53.5 9528.2 1302.2 13.7 8.7 112.1 104.3 99.0 51.3 13.6 100.0 84.1 13 Selenge 74843.8 87428.5 116.8 1000.0 1000.0 100.0 3331.0 3111.0 93.4 169.1 731.0 118.3 96.0 114.3 93 100.0 97.0 14 Tuv 56516.5 40687.7 72.0 0.0 0.0 0.0 15089.0 8195.0 54.3 29.5 202.8 80.0 96.0 94.0 54.3 100.0 92.0 15 Uvs 28053.7 24283.4 86.6 50.0 50.0 100.0 11151.0 10824.0 97.1 232.9 400.0 75.2 95.0 85.7 77.5 99.5 83.5 16 Khovd 84522.0 26271.5 31.1 0.0 0.0 0.0 11186.0 5567.0 49.8 119.4 1322.2 11.8 96.1 95.8 49.8 97.8 92.5 17 Khuvsgul 62316.7 53030.2 85.1 400.0 175.0 43.8 5997.0 4307.0 71.8 60.7 713.2 85.3 93.8 69.6 56.6 89.5 82.6 18 Khentii 36104.1 41730.6 115.6 3525.0 3525.0 100.0 28125.0 23681.3 84.2 50.6 109.6 91.3 95.0 86.5 85.0 100.0 94.1 19 Darkhan-Uul 38780.3 25990.8 67.0 0.0 0.0 0.0 2979.7 409.6 13.7 26.0 82.0 42.0 98.0 68.7 12.8 97.9 83.6 20 Orkhon 4539.5 4195.2 92.4 100.0 71.0 71.0 335.0 240.0 71.6 4.4 125.6 82.7 98.6 93 71.6 99.7 87.4 21 Govisumber 3345.9 2567.9 76.7 0.0 0.0 0.0 885.0 396.4 44.8 0.0 27.5 77.6 94.3 81.0 47.0 100.0 90.6 22 Ulaanbaatar 76150.0 55292.9 72.6 4510.0 4510.0 100.0 0.0 0.0 0.0 70.0 359.1 16.7 94.5 79.6 100.0 98.7 97.0 Total 742720.2 531270.7 71.5 30884.4 23500.3 76.1 223496.0 136540 61.1 2008.7 9800.0 65.6 93.7 65.8 55.6 95.2 85.2 85 Dzud National Report 2009-2010 ERST, UNDP - NEMA Annex 2: 2009-2010 winter weather review Area covered/ Accumulated Soum No Temperat Mean Blizzards (warning & alert snow cover /precipitation (different snow ure temperatur level) cover) extreme e (air) • Out of 213 • Warm: • Day: • Mid Oct -Khangai mnt s October 40% Above 0-7 cm aver (0.07-0.27 soums/weather +18 oC air - 8-(-13) oC ranges, Gobi among Altai gr/cm3 +27 oC • No snow –83 age stations: mnt/steppe and Khangai with 16-24 +14-(+18) oC • 0-4 cm – 109 • Cold: • Late Oct-northern part 10% Around ground m/sec • Night: aver • 5-10 cm –17 Gobi age -21oC air, • 10-15 cm –3 Khangai& Khuvsgul with 50% Below average /none -16oC -18-(-21) oC wintry mixes • 15-20 cm –1 ground Mnt • 20-26 cm –0 -13-(-17) oC • 26-30 cm –0 steppe • 30 & more – 0 -5-(-12) oC • Out of 285 • Warm: • Day: • 4-6 Nov – freezing rain and Gobi November 50% 0-5 cm - whole central and soums/weather +6 oC air -7-(-13) oC snow/dust wind with 10-24 +1 oC • No snow –59 • Late Nov – central region northern part stations: mnt /steppe m/sec +5-(+6) oC • 0-4 cm – 150 • Cold: 22% 5-10 - Arkhangai, ground • Night: Bayankhongor, • 5-10 cm –58 Gobi through Khangai-Arkhangai, Govi-Altai, -34 oC air • 10-15 cm –14 Khuvsgul, Bulgan, northern Khovd, Dornod, -38 oC -25-(-34) oC Uvurkhangai, Umnugovi, Khentii • 15-20 cm –3 ground Mnt /steppe Sukhbatar with 16-20 m/sec 3% 10-38 cm - high • 20-26 cm –1 -14-(-24) oC mountains and • 26-30 cm –0 Gobi • 30 & more – 0 Zavkhan, Uvs, Tuv, northern Dundgovi 25% No snow- central and southern part of • Out of 303 • Warm: • Day: • 3-6 Dec – Snow and dust Gobi aimags December 35% 0-5 cm –Mainly Gobi and steppe soums/weather +2 oC air -16-(-20) oC storm, southern Gobi region +8 oC • No snow –36 • 20-24 Dec – Western to east 30% 5-10 cm – Mainly stations: Mnt with average 16 m/sec -10-(-15) oC • 0-4 cm – 147 • Cold: northern half ground • 5-10 cm –71 13% 10-29 cm – partial in Steppe through central region with -43 oC air +2-(-9) oC • 28-29 Dec – Gobi region northern half and • 10-15 cm –26 16-28 m/sec • Night: beyond Altai -46 oC Gobi mountain • 15-20 cm –17 ground with average 16 m/sec 2% 30-34 cm – Beyond • 20-26 cm –3 -39-(-43) oC Altai mountain, • 26-30 cm –1 Mnt • 30 & more – 1 Zavkhan, -31-(-38) Arkhangai Steppe 20% No snow-Far -22-(-30) Gobi southern Gobi • Out of 309 • Warm: • Day: aimags January 40% 10-48 cm – Uvs, 5. 2-3 Jan – From west Zavkhan and soums/weather +10 oC air -15-(-21) oC along Altai mountain +5 oC • No snow –45 southern/eastern stations: Mnt through Gobi region 12-18 -6-(-14) oC • 0-4 cm – 132 • Cold: Khangai ranges ground m/sec 60% Less than 10 cm- 6. 6-7 Jan - Govi-Altai • 5-10 cm –69 Steppe Mainly southern -47 oC air -5-(+10) oC 16-20 m/sec • 10-15 cm –34 • Night: half of country -51 oC Gobi 7. 13 Jan – Umnugovi excluding Altai • 15-20 cm –13 ground 16-34 m/sec • 20-26 cm –13 -42-(-47) oC mountain southern 8. 17-19 Jan - From west 86 Dzud National Report 2009-2010 ERST, UNDP - NEMA • 26-30 cm –1 • 30 & more – 3 tip. Mnt along Altai mountain -37-(-41) oC through Gobi region 16-34 Steppe m/sec -28-(-36) oC 9. 21-23 Jan – Gobi Umnugovi and Dundgovi 14-28 m/sec 10. Other central/northern aimags affected with mild • Out of 306 • Warm: • Day: • 5-7 Feb – From central to blizzards below 12 m/sec February 10% No snow – Half of Umnugovi and soums/weather +8 oC air -11-(-23) oC east through Tuv, Khentii, +10 oC • No snow –74 southern tip of stations: Mnt Sukhbaatar and central to -3-(-10) oC • 0-4 cm – 103 • Cold: Dornogovi ground Gobi-Altai through Gobi 90% Snow covered – Rest • 5-10 cm –58 Steppe with average 16 m/sec (14- +8-(-2) oC • 21-23 Feb – From Bayan- of country -47 oC air 18, 12-16, 16) • 10-15 cm –36 • Night: -52 oC Gobi • 15-20 cm –18 ground ulgii along Altai mountain to • 20-26 cm –11 -41-(-47) oC Gobi region very intense in • 26-30 cm –2 Mnt Govi-Altai all three days 14- • 30 & more – 4 -33-(-40) oC • 28 Feb – From Altai 34 m/sec (16, 16-34, 14-16) Steppe -25-(-32) oC mountin through Gobi-Altai, Gobi Bayankhongor to Zavkhan • Out of 283 • Warm: • Day: • 1 March – From 14-20 m/sec • -5-(+9) Mnt March 30% 10-50 cm – along +18 oC air • +10-(+12) oC Khangai and Altai soums/weather Bayankhongor to east +34 oC • No snow –127 mountain ranges stations: through Gobi and central • 0-4 cm – 78 • Cold: • 2-3 March – From west 30% 0-10 cm – mainly in • +13-(+18) oC ground Steppe region 12-20 m/sec the northern half. 40% No snow – All Gobi • 5-10 cm –34 -32 oC air through Govi-Altai, • 10-15 cm –16 • Night: Gobi type zones -36 oC Bayankhongor to Gobi and • 15-20 cm –10 ground • -27-(-32) oC ended in eastern region 12- • 20-26 cm –13 • Local dust storms in Gobi 20 m/sec • 26-30 cm –4 • -22-(-26) oC Mnt • 30 & more – 1 • 11 March – Along Gobi everyday • -12-(-21) oC Steppe Gobi region from Govi-Altai to Dornogovi 12-20 m/sec, • 13-14; 17-20, 21-22, 28-30 Umnugovi with 34-40 m/sec March – From western region through Altai mountain to eastern aimags and Gobi average 16-20 • Out of 90 • Warm: • Day: • Mainly dust/strong winds m/sec • 16-20 oC April Almost all snow except those 27 oC air • April 2, 11, 12-14, 17-19, in the high mountains soums/weather (freezing cold at night) melted as of April 30. 51 oC • 21-27 oC stations as of Mnt/steppe • No snow –24 • Cold: Apr 20: ground 20-22, 28-30 with speed • 0-4 cm – 47 • Night: Gobi over 16 m/sec -15 oC air • 5-10 cm –15 -16 oC • -13-(-15) oC • 10-15 cm –4 ground • 15-20 cm –0 • -9-(-12) oC Mnt • 20-26 cm –0 • 26-30 cm –0 • -5-(-8) oC Steppe • 30 & more – 0 Gobi 87 Dzud National Report 2009-2010 ERST, UNDP - NEMA Annex 3: Road maintenance service centres for 2009-2010 winter (from MoRTCUD) No Aimags Post Names and Roads Road number 1 Tuv "Nogoon Dov" hill, UB-Mandalgovi A0201 2 UB Lun soum, UB-west aimags A0301 Bayanchandmani soum, UB-Darkhan A0401 Nalaikh, UB-Nalaikh A0301 Ski center, UB-Arvaikheer A0301 3 Bayankhongor Baidrag river bridge, Bayankhongor-Altai A0304 Buleen pass, Buutsagaan-Tsagaankhairkhan soum A12 4 Khovd Khashaat pass, Khovd-Ulgii A0305 Khovd aimag center, Khovd-Mankhan-bulgan A14 Baga ulaan pass, Khovd-Mankhan -Bulgan A14 5 Bayan-Ulgii Buraat pass, Khovd-Ulgii A305 Tsagaan nuur camp, Ulgii-Tsagaan nuur A0306 6 Selenge Argangat pass, Darkhan-Sukhbaatar A0402 7 Khentii Tsenkhermandal, soum, UB-Undurkhaan A0501 8 Dornod Sumber valley point at 123 km, Undurkhaan- A0502 Choibalsan 9 Uvurkhangai Tarvagatai hill, Elsen tasarkhai-Kharkhorin A0601 Nariin teel soum, Arvaikheer-Bayankhongor A0302 Sharling, UB-Arvaikheer A0301 10 Zavkhan Solongot pass, Tsetserleg-Tosontsengel A0603 Kkhalzan Sogoot pass, Murun-Uliastai A0603 Zagastai pass, Murun-Uliastai A1102 Gants pass, Uliastai-Altai A1103 11 Arkhangai Tariat soum, Tsetserleg-Tosontsengel A0603 12 Khuvsgul Namnang, Bulgan-Murun A0902 Sant pass, Murun-Khatgal-Khankh A1101 Tsagaanuul soum, Ompuu-Baruunturun, Ulaangom, A18A1102 Murun 13 Darkhan Khutul, Darkhan-Erdenet A1001 14 Orkhon Ikh khushuut pass, Darkhan-Erdenet A1001 15 Uvs Ulaan pass, Ulaangom-Tsagaannuur A16 Borshoo river bridge, Ulaangom-Khandgait A1702 16 Sukhbaatar Munkhkhaan soum, Undurkhaan-Baruun-urt A2001 17 Bulgan Zoon pass, Erdenet-Bulgan A1002 Dashinchilen, Lun-Dashinchilen road 18 Dornogovi Zamiin-uud, Sainshand-Zamiin-uud A0103 19 Govi-Altai Eev motel, Altai-Khovd road A0304 88 Dzud National Report 2009-2010 ERST, UNDP - NEMA Annex 4: Livestock Losses in 2010 (from NEMA, MoFALI, NSO) 1/24/2010 1/30/2010 2009 Aimag 1/16/2010 1/31/2010 2/8/2010 2/21/2010 2/24/2010 2/25/2010 3/8/2010 3/21/2010 3/31/2010 4/4/2010 4/18/2010 5/1/2010 6/1/2010 7/1/2010 № Aimag (NEMA) (NEMA, (NEMA, (MoFALI) (NEMA) (NEMA) (MoFALI) (MoFALI) (NEMA) (NEMA) (MoFALI) (NEMA) (NEMA) (NSO) (NSO) (NSO) census livestock MoFALI) MoFALI) (NSO) losses (%) 1 Arkhangai 90,124 170,270 212,988 212,988 237,283 275,814 333,476 333,476 333,476 409,809 547,623 573,282 608,662 801,417 895,460 1,085,777 3,619,051 30 2 Bayan-Ulgii 29,600 32,869 39,589 39,673 43,646 55,920 57,750 57,800 69,997 83,495 89,959 98,774 111,585 136,557 143,692 144,508 1,301,457 11 3 Bayankhongor 32,600 74,336 122,051 122,051 130,736 145,942 158,845 158,845 183,315 203,759 236,829 236,970 259,017 331,840 407,133 543,800 2,684,703 20 4 Bulgan 2,978 7,636 10,568 10,778 12,735 15,616 19,754 19,754 20,901 25,962 54,255 69,541 128,917 161,658 188,728 197,987 2,611,649 8 5 Govi-Altai 92,383 105,703 131,926 131,926 134,163 153,197 197,870 197,870 197,870 307,314 485,044 485,734 569,893 614,032 655,661 715,077 2,171,805 33 6 Dornogovi 3,334 8,176 11,595 11,595 13,015 15,853 16,469 16,956 16,956 18,003 17,988 22,016 32,845 36,466 37,777 38,357 1,076,910 4 7 Dornod 6,018 12,049 16,593 16,593 21,848 34,786 35,082 35,082 40,492 47,892 106,758 106,789 156,404 237,372 267,500 275,557 1,450,730 19 8 Dundgovi 53,337 60,988 212,401 212,401 241,220 268,767 270,983 270,983 418,056 467,869 590,935 591,410 685,430 764,592 788,735 803,546 2,147,060 37 9 Zavkhan 102,557 127,121 132,413 132,413 163,458 245,735 251,866 251,866 391,749 546,662 704,053 704,130 748,251 900,348 937,489 986,855 2,827,602 35 10 Uvurkhangai 159,913 285,686 333,493 333,493 385,480 470,823 585,668 585,668 654,580 838,449 1,103,192 1,142,423 1,254,094 1,427,120 1,573,946 1,643,643 3,620,174 45 11 Umnugovi 71,378 80,017 115,822 116,474 136,889 193,015 212,800 216,917 255,550 273,524 308,222 317,767 356,444 426,158 461,153 597,819 1,755,215 34 12 Sukhbaatar 801 972 2,379 2,463 2,481 2,551 4,059 4,059 5,567 7,515 11,371 11,391 13,381 19,837 24,651 28,423 1,789,735 2 13 Selenge 3,383 4,941 6,378 6,378 6,528 8,116 11,186 11,272 16,585 31,182 40,156 48,256 48,256 88,510 96,787 99,751 1,553,388 6 14 Tuv 12,179 28,044 34,620 34,620 38,168 81,834 91,531 91,531 114,554 184,504 258,659 283,991 365,318 444,054 486,165 507,219 3,464,172 15 15 Uvs 14,567 36,062 51,688 51,688 61,365 93,490 100,151 100,151 165,945 229,485 286,176 311,925 391,423 473,138 490,049 616,229 2,319,106 27 16 Khovd 80,900 111,329 164,645 164,645 237,646 237,878 243,524 243,524 269,514 333,227 372,735 373,150 373,150 435,904 450,013 466,665 2,268,385 21 17 Khovsgol 24,010 41,872 86,270 86,270 101,935 124,418 127,476 130,920 172,962 195,175 325,231 325,242 369,277 558,314 611,153 653,860 3,924,473 17 18 Khentii 3,899 6,412 11,448 11,448 13,383 20,916 26,587 27,875 36,659 76,314 106,937 111,733 133,682 153,523 158,284 172,256 2,251,074 8 19 Darkhan-Uul 1,775 3,109 3,943 3,943 6,102 6,592 6,696 7,017 7,545 15,897 28,986 29,434 34,502 39,929 43,350 45,094 361,532 12 20 Orkhon 726 2,150 3,038 3,038 3,960 5,723 6,144 6,144 12,025 14,474 18,774 18,774 18,774 26,266 27,219 27,734 256,178 11 21 Govi-sumber 177 493 714 714 952 3,196 3,372 3,372 3,730 6,587 9,060 9,060 9,655 10,100 12,488 12,509 168,723 7 22 UB 4,516 6,667 6,667 7,028 7,735 8,017 8,017 11,340 11,758 26,292 26,435 39,802 55,153 63,567 63,966 400,825 16 TOTAL 786,639 1,204,751 1,711,229 1,712,259 2,000,021 2,467,917 2,769,306 2,779,099 3,399,368 4,328,856 5,729,235 5,898,227 6,708,762 8,142,288 8,821,000 9,726,632 44,023,947 22 8,142,300 8.4 million NEMA, 14 by NEMA May 89 Dzud National Report 2009-2010 ERST, UNDP - NEMA Annex 5: (incomplete) Survey of Dzud affected households (from NEMA, as of Jan 29, 2010) Affected by winter Difficulties Households on Otor movement Snow Blocked Households Required medicines/injections People taken medical services Households in livestock feed Households in fuel shortages People with chronic diseases Old aged above 60 years old Households and people who Disabled and people serious Children upto 18 years old Households and people in Number of Soums needs medical services Number of Households Number of Households Number of children Family Members Family members Pregnant women Pregnant women food shortages Aimags № shortages Old aged urgently illnesses 1 Bayan-Ulgii 5 6039 24361 10244 486 1443 532 981 3556 2022 128 317 1539 703 2103 353 907 3572 1599 6312 2 Bayan-khongor 6 947 522 31 2060 6188 3 Govi-Altai 11 582 212 846 4 Zavkhan 19 13073 46582 9236 75 1588 295 680 1847 72 9 15 900 5 Uvurkhangai 17 8979 32595 8655 703 1550 76 1557 4969 980 76 169 2453 32 622 1202 179 1481 2242 2558 11248 6 Uvs 17 1008 331 1051 200 25 70 730 2176 7 Khovd 8 6529 21840 9205 1054 3450 920 885 2561 1879 231 436 313 46 138 317 401 1220 4213 4862 8 Khuvsgul 13 2814 371 1063 133 1 2 9 Arkhangai 19 6945 24178 413 22 191 68 356 773 66 10 37 389 593 1209 173 844 1692 706 20062 10 Bulgan 14 11 Govisumber 3 4144 14109 4170 475 700 141 24 91 19 3 81 12 Dornod 10 13 Dundgovi 15 13234 47622 15075 4446 3181 417 570 3244 1710 255 1567 3515 1.3 сая 260 2567 115 2581 260 4922 14 Orkhon 15 Umnugovi 15 744 1501 129 3 55 32 419 644 52 9 21 61 139 285 139 285 267 771 16 Sukhbaatar 5 2 6 126 474 192 9 30 164 447 17 Tuv 7 2610 10184 2841 378 716 55 631 1852 506 56 144 610 96 610 81 86 526 116 2994 18 Khentii 22 64 231 43 TOTAL 62299 222978 59968 7642 12874 7887 7517 22356 7874 840 2811 9125 32 2459 5547 3670 6975 21328 9719 52518 Herder Households who lost their livestock (from MoFALI as of 13 April 2010) As of 13 April 2010 Lost all Lost 90% Lost 50- Lost one No Aimags livestock or more 90% third 1 Arkhangai 1151 1396 1736 191.8 2 Bayan-Ulgii 212 13 1186 35.3 3 Bayankhongor 357 145 1209 59.5 4 Bulgan 28 1 117 5 Govi-Altai 764 840 1980 127.3 6 Dornogovi 0 14 14 0.0 7 Dornod 137 9 254 22.8 8 Dundgovi 234 629 1858 39.0 9 Zavkhan 1293 1042 2832 215.5 10 Uvurkhangai 1689 3140 3600 281.5 11 Umnugovi 134 40 1381 22.3 12 Sukhbaatar 0 0 13 0.0 13 Selenge 40 40 293 14 Tuv 334 133 1041 55.7 15 Uvs 549 640 1309 91.5 16 Khovd 803 280 2472 133.8 17 Khuvsgul 919 444 2137 153.2 18 Khentii 62 63 243 19 Darkhan-Uul 0 10 57 0.0 20 Orkhon 0 0 120 0.0 21 Govisumber 5 5 12 22 Ulaanbaatar 0 3 5 0.0 Total 8711 8887 23869 1429.3 90 Dzud National Report 2009-2010 ERST, UNDP - NEMA Annex 6: Dzud Immediate needs by Aimags (from NEMA, as of February 26, 2010) Dzud Affected Population, Livestock, and Food Needs by Aimags Table 1. (By NEMA as of February 26, 2010) moderatly dzud affected Dzud affected livestock Food product needs Dzud affected people Soums in severely, and at risk Vegetable Oil Milk formula Milk powder Total costs Brick tea Noodles No Garlic Millet Sugar Aimags per Aimag Flour Rice Salt (mil. ₮) Immediate Needs tons tons tons tons tons tons pieces tons tons pieces tons 1Arkhangai 15 16,810 333,476 100 100 100 50 10,000 5 10,000 59.30 2Bayankhongor 13 11,513 158,845 300 300 24 12,000 12,000 71.27 3Bayan-Ulgii 4 11,190 57,750 530 110 40 0.36 4Govi-Altai 11 8,032 197,870 602 19 241 60 12,033 72 36,099 268.50 5Dundgovi 15 7,132 270,983 31 9 7 4,000 16.03 6Zavkhan 13 8,893 251,866 959 38 9 127 169 17,786 92 38,090 449.87 7Uvurkhangai 17 16,570 585,668 250 100 0.19 8Umnugovi 15 6,301 212,800 315 19 19 95 157 23 1,944 32 13 13 10 272.26 9Uvs 12 9,398 100,151 192 96 19 3,836 11,508 37.41 10Tuv 13 11,965 91,531 70 14 0.04 11Khovd 3 9,122 243,524 250 250 9,753 33 10,017 58.42 12Khuvsgul 9 5,281 127,476 211 132 132 5,281 21.45 13Khentii 9 6,845 26,587 220 110 45 2,000 4.06 14Dornod 8 7,030 35,082 0.00 15Selenge 8 7,154 11,186 46 6 6 0.03 16Dornogovi 5 2,545 16,469 25 37 19 19 6 2,545 13 5,090 419.11 17Sukhbaatar 4 6,901 4,059 127 20 72 40 2,000 4.00 18Govisumber 3 524 3,372 8 1 4 4 4 745 7.39 19Orkhon 1,063 6,144 15 10 5 80.01 20Bulgan - 6,427 19,754 0.00 21Darkhan-Uul - 1,219 6,696 0.00 22UB 2,664 8,017 0.00 Total 177 164,579 2,769,306 4,250 124 28 376 1,851 487 79,178 233 25 127,562 10 1,769.69 Price per unit (₮) 320 8,000,000 3,000 810 1,140 1,500 4,000 250 8,000,000 1,900 1,200,000 Total price (₮ millions) 1 992 0 0 2 1 317 0 202 242 12 A Grand Total (₮ millions) 1,769.69 Needs of Household Shelter and Fuel, and Livestock Feeds Table 2. (By NEMA as of February 26, 2010) Household Fuel and Shelter Insulation Livestock Feeds and Warming Material Wheat Bran Pellet feed Salt-marsh Gher outer Warm bag Livestock Livestock Firewood Tarpaulin Gher Felt livestock cover for medicine medicine and Coal for baby Total costs per Fish Oil animal (water Warm proof) cover cover Hay Aimag (mil. ₮) No (1) (2) Aimags Immediate needs tons pieces metre pieces pieces pieces kg pieces kg tons tons tons tons 1 Arkhangai 900 250 250 437.94 2 Bayankhongor 500 150 2,000 3,000 800 4,838 1,320 1,320 2,406.66 3 Bayan-Ulgii 3,000 710 710 1,404.30 4 Govi-Altai 9,700 2,900 2,900 4,812.52 5 Dundgovi 520 140 230 220 183.02 6 Zavkhan 4,500 600 4,893 4,000 4,240 900 250 250 1,041.15 7 Uvurkhangai 2,816 258 258 1,134.25 8 Umnugovi 788 250 254 398.22 9 Uvs 600 290 290 347.46 10 Tuv 1,855 230 115 115 246.22 11 Khovd 300 150 150 175.98 12 Khuvsgul 500 200 200 270.80 13 Khentii 510 15 157 223.83 14 Dornod 586 820 820 580.90 15 Selenge 110 550 620 620 487.78 16 Dornogovi 4,780 31,000 1,270 1,275 227 20 49 248.20 17 Sukhbaatar 2,000 100 300 15 15 139.23 18 Govisumber 500 70 80 214.60 19 Orkhon 7,250 6,240 120 134.62 20 Bulgan 10 0.60 21 Darkhan-Uul 1,110 115 115 453.13 22 UB 100 50 50 58.66 Total 2,385 5,000 2,750 100 4,780 31,000 2,000 16,413 12,315 4,350 28,714 8,648 8,823 15,400.07 Price per unit (₮) 60,000 35,000 6,000 120,000 2,000 4,000 8,000 8,280 5,000 90,000 361,600 220,000 230,000 Total Price (₮ millions) 143 175 17 12 10 124 16 136 62 392 10,383 1,903 2,029 Grand Total (₮ B 15,400.07 millions) 91 Dzud National Report 2009-2010 ERST, UNDP - NEMA Needs of Everyday consumer product including hygienic, and warm clothes Table 3. (By NEMA as of February 26, 2010) Home products Hygiene products Warm clothes Head-to-toe chemical Warm outer garment Electrical battery for suits (multi-layer) AA, AAA battery Washing powder/ Blizzard oil lamp washing soaps Warm gloves Wind glasses Pipe-tobacco Solar mirror Warm boots Total costs Barometers Hand soap mirror or? Cigarettes Felt boots detergent Matches Candles No Torch Aimags per Aimag (mil. ₮) Immediate needs pieces pieces pieces pieces bundle pieces piecces pieces pieces pieces pack kg pieces pieces pieces pairs pairs pairs set 1 Arkhangai 500 500 500 54.25 2 Bayankhongor 12,000 1,500 1,500 38,000 500 4,000 475.50 3 Bayan-Ulgii 0.00 4 Govi-Altai 72,198 36,099 900 163.48 5 Dundgovi 0.00 6 Zavkhan 446 8,893 44,465 53,358 30,000 63 44,465 63,000 4,500 17,786 8,893 8,893 1,114.68 7 Uvurkhangai 0.00 8 Umnugovi 50 38,000 6,300 63,000 31,500 32 31,500 63,000 318.57 9 Uvs 3,836 19,180 31 7,672 11,508 7,672 7,672 7,672 956.01 10 Tuv 8,854 557.80 11 Khovd 18,420 9,458 669.53 12 Khuvsgul 0.00 13 Khentii 220 220 23.76 14 Dornod 0.00 15 Selenge 0.00 16 Dornogovi 2,545 12,725 15,270 7,635 2,545 2,545 250.91 17 Sukhbaatar 1,000 5,636 50 16,080 390 130 4,520 2,910 361.93 18 Govisumber 0.00 19 Orkhon 400 2,000 300 25.00 20 Bulgan 0.00 21 Darkhan-Uul 0.00 22 UB 0.00 Total 1,000 3,836 12,446 11,438 154,254 1,500 1,550 144,628 96,114 81,420 31,500 125 83,637 137,508 5,390 8,922 27,958 21,158 41,052 4,971.43 Price per unit (₮) 50,000 20,000 3,000 4,000 2,000 120,000 100,000 250 30 4,000 500 2,500 500 400 40,000 45,000 500 20,000 63,000 Total Price (₮ millions) 50 77 37 46 309 180 155 36 3 326 16 0 42 55 216 401 14 423 2,586 C Grand Total (₮ millions) 4,971.43 Needs of heating, electricity, and ambulance equipments and vehicles, removal of carcasses, and transportation costs Table 4. (By NEMA as of February 26, 2010) Cost related to improving Required transportation closed mountain passes Fuel cost for delivering Supply of hospital and heating and electricity Costs for removal of Costs for clearing of and road with snow Diesel generator set Ambulance van or general medicines health services vehichles carcasses supply Total costs cost No Aimags Grand-Total per Aimag (mil. ₮) (mil. ₮) Immediate needs pieces pieces mil. ₮ mil. ₮ mil. ₮ mil. ₮ mil. ₮ mil. ₮ 1 Arkhangai 0 0 140 102 0 0 241.70 793.19 2 Bayankhongor 3 1 140 3 35 80 312.70 3,266.13 3 Bayan-Ulgii 1 140 6 136 27 326.90 1,731.56 4 Govi-Altai 3 140 15 70 203 481.90 5,726.39 5 Dundgovi 140 13 17 165 334.00 533.05 6 Zavkhan 3 14 140 72 172 261 712.30 3,318.01 7 Uvurkhangai 3 140 50 51 6 300.00 1,434.45 8 Umnugovi 140 140.00 1,129.04 9 Uvs 14 27 140 25 103 15 324.80 1,665.68 10 Tuv 140 70 210.00 1,014.06 11 Khovd 1 140 14 101 273.40 1,177.33 12 Khuvsgul 2 11 72 140 39 79 21 396.80 689.05 13 Khentii 3 30 140 17 240.70 492.35 14 Dornod 140 140.00 720.90 15 Selenge 140 140.00 627.81 16 Dornogovi 1 140 167.80 1,086.02 17 Sukhbaatar 140 26 166.00 671.16 18 Govisumber 140 140.00 361.99 19 Orkhon 1 91 109.20 348.83 20 Bulgan 18 250 20 288.10 288.70 21 Darkhan-Uul 0.00 453.13 22 UB 0.00 58.66 Total 1 20 149 379 2,520 471 764 777 5,446.30 27,587.49 Price per unit (₮) 27.8 mil 18 mil Total Price (₮ millions) 28 360 149 379 2,520 471 764 777 Grand Total (₮ D 5,446.30 millions) Overall required funding A, B,C,D (million Tugrik) 27,587.49 92 Dzud National Report 2009-2010 ERST, UNDP - NEMA Annex7: GoM Resource Mobilization by Aimags GoM res. 57, 113, GoM Res. 34, Feb 10, GoM Res. 52, Res. GoM Res. 296, Sep 23, 2009 GoM Res. 367 on December 11, 2009 GoM Res. 7, January 11, 2010 March 10 and May TOTAL 2010 March 3, 2010 71, 5, 2010 Additional cost of fuel for Otor Clearance of road and passes Cost of wells digged in inter- Livestock Vehichles and SSR Feed Removal of Available Fodder for Sale Government expenditure Loan to cover Khuvsgul Re-location Re-location SSR Feed for sale (50% off) Purchase at local level aimag and soum psture Funding-public service Funding-public service Available Hay for Sale medicines Generator for sale carcasses Re-located fodder Re-located Hay delivery to Otor delivery to Otor № heating debt pub/service Aimags 5 types of medicines Generator to soums Available fodder for Transportation cost Transportation cost Transportation cost discount from GoM Availble Fodder for reserves Transportation, to Subsidies of 50% Available Hay for Available Hay for Hygiene material For Aimag tran-n Railway/logistics Wheat donation, Ambulance van, Other expenses soum hospitals soum and bagh Hay and fodder Van for Otor Food /home Hum/animal Expenses, medicines Authority products Fodder Fodder Russia Wages Costs Sale cost sale sale sale Hay Hay pi- pi- mil. mil. А tons tons mil. ₮ mil. ₮ mil. ₮ pi-es mil. ₮ tons tons mil. ₮ pi-es tons tons mil. ₮ tons tons mil.₮ mil. ₮ mil. ₮ mil. ₮ mil. ₮ mil. ₮ mil. ₮ mil. ₮ mil. ₮ mil. ₮ mil. ₮ tons mil. ₮ tons tons tons tons mil. ₮ es es ₮ ₮ 1 Arkhangai 161 2 15 200 500 74 5 5 100 50 45 10 25 24 38 1,500 23 0 0 200 500 316.14 2 Bayanulgii 30 18 162 2 15 800 400 102 5 5 8 100 50 45 10 25 6 7 100 2 0 0 800 400 330.46 3 Bayankh-r 400 200 82 19 25 162 2 400 59 527 809 30 300 500 80 5 5 6 100 50 45 10 25 21 19 500 8 400 600 827 1,309 490.79 4 Bulgan 9 10 4 1,000 32 16 0 0 0 0 70.38 5 Govi-Altai 600 400 243 42 30 162 2 300 500 189 2 627 786 30 300 200 44 5 5 12 100 50 45 10 25 18 23 100 2 900 900 927 986 809.03 6 Govisumber 1 9 5 2 300 5 5 0 0 0 0 43.50 7 Darkhan-Uul 9 6 2 1,000 5 16 0 0 0 0 38.48 8 Dornogovi 9 16 3 1,000 10 16 0 0 0 0 54.28 9 Dornod 1 9 16 5 370 6 0 0 0 0 54.48 10 Dundgovi 100 50 11 30 30 162 2 200 400 44 542 329 50 300 400 68 5 5 1 100 50 45 35 500 8 300 450 842 729 383.90 11 Zavkhan 177 2 300 65 3 821 668 50 700 600 119 5 5 14 100 50 45 10 25 21 29 2,000 31 0 300 1,521 1,268 521.76 12 Orkhon 9 3 2 1,500 3 23 0 0 0 0 40.55 13 Uvurkhangai 20 161 2 600 58 2 2 220 406 35 100 600 79 5 5 4 100 50 45 35 1,000 16 0 600 320 1,006 420.51 14 Umnugovi 290 190 61 28 60 162 2 300 400 118 240 673 30 100 300 43 5 5 100 50 45 10 25 10 24 500 8 590 590 340 973 524.03 15 Sukhbaatar 9 6 2 500 39 8 0 0 0 0 64.21 16 Selenge 9 13 3 1,200 10 19 0 0 0 0 54.19 17 Tuv 100 300 14 389 393 15 300 600 92 5 5 12 100 50 45 35 25 21 12 1,500 23 100 300 689 993 354.70 18 Uvs 50 50 4 162 2 1 15 400 400 75 5 5 13 100 50 45 10 25 19 12 2,800 44 50 50 400 400 341.13 19 Khovd 25 162 2 1 15 400 100 39 5 5 23 100 50 45 35 500 8 0 0 400 100 268.69 20 Khuvsgul 162 2 1 15 100 400 55 5 5 6 100 50 45 35 25 14 15 500 8 1,482 0 0 100 400 1,778.62 21 Khentii 9 13 300 28 5 0 0 0 0 54.46 22 UB 12,530 195 0 0 0 0 194.78 Total 1,440 890 400 149 208 1,795 21 900 2,900 548 10 2 2 3,365 4,065 315 4,000 5,000 871 60 60 97 1,200 600 540 245 309 242 206 31,200 131 485 1,482 2,340 3,790 7,365 9,065 7,209.06 93 Dzud National Report 2009-2010 ERST, UNDP - NEMA Annex 8: GoM Dzud Response Timeline (Uvurkhangai case) Timeline of Immediate Response from GoM to Soums in Uvurkhangai Aimag /by Tracking Resource Transfer (mil. Tugrik)/ /Based on Uvurkhangai Aimag report to State Emergency Commission on May 26, 2010/ Res. 296, Sep 23 Res. 367, 7 Res. 367, GoM decision, Dec 11, 2009 Res. 7, Jan 11 Res. 34, Feb 10 Livestock medicines  Livestock medicines Total Disbursement Fodder distributed Feeds trans‐n cost Date transferred Hay distributed Actual transfer Date trans‐d Date trans‐d Date trans‐d Date trans‐d Date trans‐d Trans‐n cost Days spent on immediate reponse from  Otor cost Funding (mil.₮) GoM to soums No Soums and entities 1006 tons Res. 296 Res. 367 320 tons 230 mil. 35 tons 14 tons Res 34 litre/kg 20 mil. Res. 7 0 mil. 161  230 mil. 5.6 4‐22 Dec 35 54.0 1.6 12‐Jan 26.5 5‐Jan 1.0 27‐Mar 72‐92 days 25‐32 days 22‐64 days Resolution issued on Feb 10 and transferred to Aimag account on the following day.  1 Bayanundur Procurement: 1) Hay/fodder between March 24 and April 15, 2) Food and products  2 Burd 1 4‐Dec 10 0.0 0.5 12‐Jan 2.5 26‐Jan 0.9 28‐Mar 72 days 32 days 15 days 22‐64 days 3 Bat‐ulzii 10 45.0 1 20‐Jan 1.4 12‐Jan 0.9 29‐Mar 32‐40 days 22‐64 days 4 Baruun BU 10 20.0 0.5 20‐Jan 0.5 12‐Jan 0.9 30‐Mar 32‐40 days 22‐64 days 5 Bayangol 3 4, 18 Dec 35 65.0 0.8 12‐Jan 27.5 5‐Jan 1.1 31‐Mar 72‐88 days 25‐32 days 22‐64 days March 4‐24, 3) Medicines between March 10‐24 6 Guchin‐us 20 37.0 0.5 20‐Jan 0.8 12‐Jan 0.9 1‐Apr 32‐40 days 22‐64 days 7 Yeson zuil 10 25.9 0.5 20‐Jan 1.0 12‐Jan 0.9 2‐Apr 32‐40 days 22‐64 days 8 Ulziit 10 44.0 0.5 20‐Jan 0.9 12‐Jan 26.5 5‐Jan 0.5 26‐Jan 1.0 3‐Apr 25‐40 days 15 days 22‐64 days 9 Zuun BU 20 45.0 1 20‐Jan 1.7 12‐Jan 27.5 5‐Jan 1.0 4‐Apr 25‐40 days 22‐64 days 10 Bogd 10 20.0 1.3 12‐Jan 0.5 26‐Jan 0.9 5‐Apr 32 days 15 days 22‐64 days 11 Nariin teel 20 31.0 0.5 20‐Jan 0.2 12‐Jan 0.9 6‐Apr 32‐40 days 22‐64 days 12 Sant 1 18‐Dec 50 135.3 0.2 12‐Jan 26.5 5‐Jan 2.8 26‐Jan 1.1 7‐Apr 88 days 25‐32 days 15 days 22‐64 days 13 Taragt 3.5 22‐Dec 25 30.0 0.5 20‐Jan 1.2 12‐Jan 0.9 8‐Apr 92 days 32‐40 days 22‐64 days 14 Tugrug 15 40.0 1 20‐Jan 1.1 12‐Jan 26.5 5‐Jan 1.8 26‐Jan 1.1 9‐Apr 25‐40 days 15 days 22‐64 days 15 Uyanga 15 33.4 0.5 20‐Jan 1.5 12‐Jan 0.5 26‐Jan 0.9 10‐Apr 32‐40 days 15 days 22‐64 days 16 Khairkhandulaan 10 41.6 1 20‐Jan 1.8 12‐Jan 1.0 11‐Apr 32‐40 days 22‐64 days 17 Khujirt 10 57.5 1 20‐Jan 0.6 12‐Jan 0.9 12‐Apr 32‐40 days 22‐64 days 18 Kharkhorin 30 62.5 1 20‐Jan 0.6 12‐Jan 1.0 13‐Apr 32‐40 days 22‐64 days 19 Arvaikheer 10 47.9 0.9 12‐Jan 0.7 14‐Apr 32 days 22‐64 days Aimag livestock dept.  3 2, 18 Dec 3 20, 26 Jan 2.5 23‐Mar 1.7 27‐Mar 70‐88 days 40‐46 days 52 days 22 DoFALI 23 Others 2 18‐Dec 56.1 4.4 26‐Jan 0.3 27‐Mar 88 days 15 days 52 days Aver. 15  Total 19.1 355 891.2 12.5 20.9 161 13 20.325 Aver. 81 days Aver. 36 days Aver. 43 days days 94 Dzud National Report 2009-2010 ERST, UNDP - NEMA Annex 9: Donor Response Table (for edition please double click the table) Humanitarian Assisstance Provider Type of support Beneficiary Aimags (most affected by Dzud) Funding (secure) Date, relief delivered project/program  implementation Sector/  dzud affected people Date, recovery  On‐going/ planned  Cluster Direct benefit for  Operational cost Bayankhongor Funding  Uvurkhangai Umnugovi Arkhangai Govi‐Altai Dundgovi Recovery activities Khuvsgul Zavkhan Others Khovd Relief Total Uvs Tuv Channel Donor  WASH/Educ‐n Food/ Shelter Livelihoods  Health/  /LEGS International Red Crosses and  12 June ‐15  CHF 1,062,295 30 Feb‐30 Aug CHF        174,101 CHF          42,542 CHF           845,652 CHF            1,062,295 IFRC/MRCS Governments July ECO € 680,000 Jun 10‐ Jun 11  TBD TBD TBD € 680,000 CERF $600,000 FAO Austria $298,200 6‐13 April $1,164,615 $210,585 TBD $1,375,200 Unearmarked Fund by FAO $477,000 Australia $470,802 CERF $963,803 2 March‐  USA $299,625 $677,000 TBD TBD $1,901,707 UNICEF 9 August Brazil $100,000 Luxembourg $67,477 ECO TBD TBD TBD TBD UNDP $850,000 Mar 2010‐Sep  UNDP CERF $1,524,430 $1,255,635 TBD TBD $2,410,530 2011 SDC $36,100 UNFPA $100,000 UNFPA CERF $242,461 1‐May‐2010 $460,000 TBD TBD $612,791 Australia $270,330 WHO CERF $225,838 TBD TBD TBD $225,838 SDC Swiss Government CHF 500,000 10‐Apr TBD TBD TBD CHF 500,000 Mercy Corps USA $25,000 $8,300 TBD TBD $25,000 France $33,738 1 Mar‐June TBD TBD TBD $33,738 ACF ECO € 734,981 March‐Sep TBD TBD TBD € 734,981 World Vision Funds $581,183 World Vision Feb‐July 2010 TBD TBD TBD $747,183 Government of Germany $166,000 Save the Children Seven SC country offices $119,185 Feb‐May TBD TBD TBD $119,185 CAMDA $20,500 CAMDA CAMDA/WSPA $40,500 15‐31 March TBD TBD TBD $65,000 CAMDA/ESA $4,000 ADRA Emergency Response Fund 1‐4 May  ADRA 18‐25 Feb  TBD TBD TBD $107,962 Czech Republic $107,962 11‐15 May CARITAS Czech Republic $107,962 $107,962 LDS Charities Church of LDS $200,000 $200,000 ADB Asia Pacific Disaster Reponse Fund $2,500,000 12 April‐to August 2010 $2,500,000 TBD TBD $2,500,000 IDA Credit? ? World Bank Apr‐May 2010 $830,000 TBD TBD $830,000 European Union $270,450 Russian Federation $17,500,000 2 Feb,  TBD TBD TBD $17,500,000 People's Republic of China $1,500,000 1‐Feb TBD TBD TBD $1,500,000 Bilateral Turkey $185,000 25‐Feb TBD TBD TBD $185,000 Japan $700,000 12‐Apr TBD TBD TBD $700,000 Korea Republic of Korea $100,000 April TBD TBD TBD $100,000 National  Humanitarian  Donation account at NEMA $600,000 3 Feb‐April TBD TBD TBD $600,000 Campaign please add please add 34,324,372 95 Dzud National Report 2009-2010 ERST, UNDP - NEMA Annex 10: List of Government resolutions on winter preparation and Dzud coordination in 2009-2010 Date No Resolution name Sectors covered by resolution Env. Agri- Energy Transport Health Social FinanceForegn Justice Comm-Educion SEC/ Local culture /Fuel/ /Road/ welfare affairs tion NEMA governm Mineral Contr-n ent Dec 6, 2000 190 Some measures on preventing hazards derived from √ √ √ √ √ √ √ drought, dzud and other weather phenomena as early warning /3 annexes/ July 22, 2009 221 Measures to be taken on winter preparation of 2009-2010 √ √ √ √ √ √ √ √ /1 Annex/ Sep 23, 2009 296 Measures to be taken additionally on preparation of √ √ √ √ √ √ livestock winterization /2 Annexes/ Sep 23, 2009 297 Border ports allowed to pass livestock products √ √ √ Dec 11, 2009 367 Measures to be taken in relation to winter difficulties in √ √ √ √ √ √ √ some Aimags /4 Annexes/ Jan 11, 2010 7 Measures to be taken in relation to worsening of winter √ √ √ √ √ √ situation /1 Annex/ Jan 27, 2010 22 About border ports to allow export of breeding livestock, √ √ √ meat and meat by products, and ports to allow passage of vegetation seed and seedlings Feb 10, 2010 34 About resource allocation /1 Annex/ √ √ √ √ √ √ March 3, 52 Measures to be taken on removal of carcasses of dead √ √ √ √ √ 2010 livestock and hygiene March 10, 57 About resource mobilization /2 Annexes/ √ √ 2010 (distribution/transportation of wheat donated by Russia); its revision was issued as 113 on May 5, 2010 March 24, 71 Resource allocation from state budget for Khuvsgul √ √ √ 2010 heating debts /1 Annex/ June 2, 2010 137 Measures to be taken on mitigating 2009-2010 Dzud losses √ √ √ √ √ √ √ /1 Annex of recovery plan/ 96 Dzud National Report 2009-2010 ERST, UNDP - NEMA Annex 11: Early warning and its matching Date Warning What predicted/forecasted Review of Warning and Alerts and Alerts 28 August Winter More snow than multi-year average in More snow than multi-year average: 2009 forecast/ December and January and at average or November - 53% more prediction less in November, February and March December - 62% January - 63% February - 56% Temperature around muli-year average in Colder than multi-year average: central, eastern, and northern regions in November - (-1.3) - (-6.3)0C Nov-Jan and 1.1-1.50C warmer in Feb December – (-1) – (-4.7) 0C January - (-1) – (-4.7) 0C Temperature 1-1.50C warmer than multi-year February - (-1) – (-4.7) 0C average in western, mountainous, and Gobi region in Nov-Jan and average in Feb 28 August Pasture Pasture had carrying capacity for 65.6% of Otor in Inter-Aimag pasture reserves: 2009 carrying total livestock. Uvurkhangai-68.6%, Uvurkhangai-0, Zavkhan-157 households with capacity Zavkhan-62.7%, Arkhangai-37%, 135,038 livestock, Arkhangai-0, Dundgovi- Dundgovi-65.7%, Khovd-11.8%, 13 households with 4,012 livestock, Khovd,- Bayankhongor-75%, Govi-Altai-33.7%, 0, Bayankhongor-34 households with 26,970 Umnu-Govi-4.1% livestock, Govi-Altai-38 households with But Dornod-149.4%, Selenge-118.3%, 38,995 livestock, Umnu-govi-0 Sukhbaatar-104.3%, Khentii-91.3% Tuv-80 households with 63,954 livestock, Khentii-58 households with 37,418 livestock. 7 September Drought Umnu-Govi- 80% in extreme, 20% in Uvurkhangai was the most dzud struck Aimag 2009 assessment moderate drought; in 2009-2010 winter Dundgovi-50% extreme, 40% moderate; Rest of those four Aimags are in the most Dzud struck 6 Aimags Uvurkhangai-60% extreme, 35% moderate;, Bayankhongor-71.4% extreme, 28.6 moderate; Govi-Altai-76.3% extreme, 23.4 moderate. 23 Warning and Resolution 296: See section of Local preparation September preparation Mobilize hay and fodder to those drought 2009 measures in affected Aimags, Arrange Otor movement response to in other aimags and Protected area/border drought stripes. 14 wells in those aimags, situation Destocking measures, 10 November Winter See Annex 1 Preparation report from Aimags was different 2009 preparation from real life status at MoFALI 97 Dzud National Report 2009-2010 ERST, UNDP - NEMA Last week of Monthly November: See Annex 2 every weather 0.5-1.50C warmer in all regions November: month forecast Average or less snow in whole area except in 1.3-6.30C colder than average central region. 75% of total territory covered with snow Dust/snow storm in the last 10 days of Nov blanket, 53% more snow than average. December: Blizzard reaching 16-20 m/sec in Nov 4-6 in 10C colder in northern Aimags and others are whole territory and late November at average or warmer than average December: More snow in mid-western region, northern In Gobi region around average and warmer half of the country than average and 1.4-5.90C colder than Blizzard in late first and second 10 days and average in rest of country end of the month 80% of total territory covered with snow. 62% more snow than average Blizzards between 3-6, 20-24, 28-29 December 21 December Alarm about Heavy snow fall on 22nd in western, 23-24 in 20-24 December sudden drop of temperature at 2009 blizzard central and all and on 25th in eastern night and continued blizzard reaching 16-28 and regions. m/sec fromw west to east region through freezing central region. Freezing cold: 23-24 Dec – night minus 45- Total 19 cold 0 50, day 34-39 C in Western; night minus alarms with Loss and damage: 37-420C, day 25-300C in central and advisory 2 people one in Bayankhongor, another in Tuv northern region; night minus 29-340C, 20- such as on 0 aimag were found dead due to freezing and 25 C in rest of country Dec 29, Jan other 98 lost people were rescued alive in 22 5, Jan 15, Advisory: graze livestock in short distance, incidents in 13 aimags. Jan 16, Feb avoid children to go for herding, extra shift Electricity and heating systems damaged due 3, Feb 11, in heating system, reserve fuel/coal for to blizzard in 13 soums of 5 Aimags. Feb 19, etc HOB, Control inter-aimag transportation, 23,892 livestock were lost in blizzard. report back in fixed time 98 Dzud National Report 2009-2010 ERST, UNDP - NEMA Annex 12: List of Tables and Figures Table 1: Snow Cover Formation and Clear Up, NAMEM .................................................... 4  Table 2: Livestock losses between 1944 and 2010 ............................................................. 11  Table 3: GoM Spending by Aimags 2009 - 2010 ............................................................... 45  Table 4: Donations to Aimags.......................................................................................... 54  Table 5: Surviving Rate of Animals ................................................................................. 61  Table 6: NEMA's communication channels ...................................................................... 67  Chart 1: Structure of Early Warning ................................................................................. 28  Chart 2: Snow Coverage of soums by Months 2009-2010.................................................. 34  Chart 3: Local data collection and information dissemination during disaster ...................... 65  Graph 1: Number of Mobile and Immobile Herder Households ........................................... 6  Graph 2: Livestock resources; 1970-20087 ......................................................................... 7  Graph 3: GoM Early Warning Measures taken in 2009...................................................... 20  Graph 4: Mean Temperature from October 2009 - April 2010 ............................................ 35  Graph 5: Health Data between October - May in 2008 - 2009 and 2009 - 2010 ................... 39  Graph 6: Morbidity Rate between October 2009 - January 2010 ........................................ 40  Graph 7: Dzud Management by GoM .............................................................................. 49  Map 1: 2009 Pasture Carrying Capacity for Winter of 2009-2010 (by soum and bagh) ......... 18  Map 2: 2009-2010 Dzud Affected Areas in Mongolia ........................................................ 37  Map 3: Number of Households who lost all livestock in 2009 - 2010 Dzud ......................... 42  99

References (1)

  1. Orkhon 15 1104